
설명 가능한 인공지능 기반의 설계인자별 진동 특성 분석을 통한 차량 시트벨트 BSR 소음 발생예측
‡ Recommended by Editor Heonjun Yoon
Ⓒ The Korean Society for Noise and Vibration Engineering
Abstract
This study proposes an eXplainable AI (XAI)-based vibration evaluation method to assess the buzz, squeak, and rattle (BSR) performance of vehicle seatbelt retractors, focusing on noise-induced anomalies. The proposed method enables the prediction of vibration characteristics from seatbelt retractor design parameters, enabling the pre-screening of potential BSR noise occurrence at the design stage. Compliance measurements were collected from 15 different vehicles, and vibration evaluation indicators (i.e., system stiffness and Q-factor) were derived to quantify dynamic response characteristics related to BSR noise. These indicators serve as key metrics for BSR-related performance evaluation, enabling defect identification based on predefined thresholds. Furthermore, an XAI-integrated machine learning model was developed to predict the system stiffness and Q-factor directly from seatbelt retractor design parameters. The predicted indicators were validated against experimental thresholds, and the Shapley additive explanations algorithm was employed to analyze the influence of design parameters on noise-induced vibration performance. By leveraging the XAI approach with the compliance data from multiple vehicle models, this paper presents a systematic methodology for BSR-focused vibration analysis and quality control of seatbelt retractors. The proposed approach enables manufacturers to predict vibration characteristics without direct measurement, enabling earlier detection of potential BSR issues and reducing reliance on costly experimental testing while ensuring product reliability.
Keywords:
Seatbelt Retractor, Vibration, Explainable Artificial Intelligence, Shapley Additive Explanations키워드:
시트벨트 리트랙터, 진동, 설명 가능한 인공지능, 섀플리 가산 설명기법1. 서 론
최근 자동차를 선택할 때 소비자들은 단순한 성능이나 외관뿐만 아니라 주행 중 실내에서 발생하는 소음을 중요한 품질 요소로 인식하고 있다. 실내 소음은 운전자의 주행 만족도와 직결되며, 정숙한 실내 환경은 차량의 전반적인 품질을 평가하는 기준 중 하나로 자리 잡고 있다. 이에 따라 자동차 제조사들은 엔진 소음, 외부 진동 등 전통적인 소음 저감뿐만 아니라, 운전자에게 불쾌감을 주는 미세한 잡음까지 관리하려는 노력을 강화하고 있다. 일반적으로 차량 내 소음은 도로 주행 중 발생하는 타이어와 노면 간의 접촉 소음, 엔진의 진동, 혹은 차량 시트의 흔들림 등에 의해 발생한다(1~3). 이러한 주요 소음원에 대해서는 많은 연구가 이루어져 왔으며, 그 결과 전반적인 소음 수준은 꾸준히 개선되고 있다. 하지만 기존에 연구되지 않았던 세부 부품이나 구조에서 발생하는 새로운 형태의 소음이 점차 두드러지고 있으며, 이에 대한 관심이 높아지고 있다.
특히 buzz, squeak, rattle(BSR) 소음은 차량 주행 중 탑승자에게 불쾌감을 유발하고, 차량의 전반적인 품질 인식에 부정적인 영향을 미치는 중요한 문제 중 하나이다(4,5). 이러한 BSR 문제는 구조적 결함, 형상 또는 조립 불량 등 다양한 원인으로 인해 발생할 수 있으며, 특히 부품 간의 상대 운동이 일정한 임계값을 초과할 때 두드러지게 나타난다. 이러한 소음은 실내 정숙성과 승차감을 저하시키며, 인스트루먼트 패널, 도어, 시트밸트 등 탑승자와 인접한 부위에서 빈번히 발생한다. 실제로 이들 부품은 전체 BSR 문제의 절반 이상을 차지하는 것으로 보고되고 있다. BSR 문제는 다양한 환경 변수와 복잡한 발생 메커니즘, 그리고 주관적 평가 요소로 인해 일반적인 설계 단계에서 예측하거나 해석하기 어려우며, 많은 자동차 제조사들은 현재까지도 실제 도로 주행 시험을 통해 문제를 탐지하고 보완하는 방식에 의존하고 있다. 그러나 이 방법은 시간과 비용이 많이 소요되고 반복성이 떨어지는 단점이 있어, BSR 소음을 정량적으로 분석하고 조기 예측할 수 있는 체계적인 평가 및 진단 기법의 필요성이 점점 커지고 있다.
차량의 안전장치 중 하나인 시트벨트 리트랙터에서 발생하는 BSR 소음 문제는 상대적으로 심도 있는 연구가 이루어지지 않았다. 시트벨트 리트랙터는 운전자와 탑승자의 안전 확보를 위한 핵심적인 부품으로, 작동 시 내부 메커니즘의 미세한 결함이나 구조적 문제가 직접적으로 소음을 유발할 수 있다. 현재 자동차 산업에서는 리트랙터의 품질을 평가하기 위해 주로 현장 작업자의 주관적 판단이나, 제한된 실험 환경에서의 간단한 진동 테스트 방식이 활용되고 있다. 그러나 이러한 기존 방식은 작업자의 숙련도나 주관적 판단에 의존하기 때문에 평가 일관성 및 신뢰성 측면에서 한계가 있으며, 복잡한 설계 인자와 실제 차량 운행 환경에서 나타나는 다양한 진동 조건을 효과적으로 반영하지 못한다는 문제점이 있다. 이러한 문제를 극복하기 위해 다양한 접근 방법이 시도되었다. 설계 최적화를 통한 소음 저감 측면에서 유한요소 해석을 통해 소음이 발생할 가능성이 높은 부위를 사전에 예측하고, 부품 간 간극 최소화와 같은 설계적 개선을 통해 소음을 효과적으로 저감한 바 있다(6). 한편, 리트랙터 내부의 볼 센서가 특정 진동 조건에서 클러치 디스크와 충돌하면서 소음을 발생시키는 메커니즘을 실험과 수치적 시뮬레이션을 통해 규명하여 효과적인 소음 저감의 기초 자료를 제시하였다(7). 하지만 이러한 기존의 연구들은 소음 메커니즘 분석이나 설계 변경을 통한 소음 저감 효과에 초점을 두고 있으며, 리트랙터 소음과 관련된 결함을 정량적이고 객관적으로 평가할 수 있는 표준화된 방법론이 여전히 미비한 상태이다.
최근 계산 능력의 향상과 센서 및 칩 기술의 발전으로, 딥러닝 기반 결함 탐지 기술은 다양한 산업 분야에서 빠르게 연구되고 있다. 딥러닝은 대규모 데이터를 통해 예시 학습 및 패턴 인식 능력을 갖추어, 전통적인 규칙 기반 방법보다 모호하거나 노이즈가 많은 데이터 환경에서도 미세한 결함을 높은 정확도로 탐지할 수 있다. 그러나 다층 구조와 수많은 파라미터로 구성된 신경망의 특성상, 모델의 의사결정 과정을 명확히 이해하기 어려운 ‘블랙박스’ 형태로 작동한다는 한계를 안고 있다. 이러한 해석 불가능성은 모델 예측 결과의 신뢰성과 정당성 확보에 어려움을 초래한다. 이를 보완하기 위해, 최근 설명 가능한 인공지능(eXplainable AI, XAI) 접근법이 주목받고 있다(8,9). XAI는 딥러닝 및 머신러닝 모델의 예측 결과와 작동 원리를 사용자가 쉽게 이해할 수 있도록 설명하는 기술로, 신경망이 입력 데이터를 처리하여 특정 출력을 도출하는 과정을 투명하게 시각화하고 정량적으로 분석함으로써 내부 작동 원리를 밝힌다. 대표적인 기법인 Grad-CAM은 주로 CNN에서 활용되는 시각적 설명 기법으로, 모델의 예측에 기여한 이미지 영역을 강조하여 시각적으로 표현한다. 이를 통해 이미지 분류나 객체 탐지 등 비전 관련 과제에서 모델이 주목한 패턴이나 특징을 쉽게 확인할 수 있다(10). SHAP는 협력 게임 이론의 shapley value를 기반으로, 모든 특징 조합을 고려하여 각 특징이 모델 예측 결과에 미친 영향을 정량적으로 평가한다(11). 이러한 기법은 복잡한 데이터 환경에서도 변수의 상대적 중요도를 파악하고 모델의 의사결정 과정을 분석하는 데 효과적이다. 이러한 기법들은 모델 예측의 이유를 명확히 분석할 수 있도록 지원하며, 복잡한 데이터에서도 각 변수의 상대적 중요성을 이해하는 데 유용하다. 최근 연구에서는 XAI 기법을 결함 진단 모델에 적용하여 모델의 의사결정 과정을 해석하고 신뢰성을 높이는 데 주력하고 있다. SHAP을 활용하면 센서 데이터나 이미지 데이터에서 특정 특징이 결함 여부를 결정하는 데 미친 영향을 수치적으로 평가할 수 있으며, 이를 통해 유지보수 담당자가 데이터 기반 의사결정을 보다 명확하게 내릴 수 있다(12,13). 이러한 이유로, XAI는 다양한 연구에서 결함 탐지 및 진단 모델의 신뢰성을 높이는 도구로 널리 활용되고 있으며, 향후 유지보수 및 품질 관리 시스템의 발전에도 중요한 역할을 할 것으로 기대된다.
이 연구는 차량 시트벨트 리트랙터의 BSR 소음 발생 예측을 위한 정량적 평가 기법을 제안하였다. 이를 위해 실험 데이터를 활용해 진동 평가인자를 도출하고, 해당 인자를 기반으로 BSR 소음 발생을 체계적으로 평가하는 방법론을 제시하였다. 측정된 실험 데이터를 활용하여 진동 평가인자를 도출한 후, support vector machine(SVM) 알고리즘과 실제 현업 종사자들의 소음 판정 데이터를 기반으로 소음 판정을 위한 기준선을 설정하였다. 이 과정에서 도출된 진동 평가인자는 BSR 소음 평가의 핵심 지표로 활용되며, 기준선을 초과하거나 미달할 경우 소음 발생 여부를 명확히 판단할 수 있도록 하였다. 또한, 차량 시트벨트 설계에 사용되는 다양한 설계 인자 중 주요 인자를 선정하여 설명 가능한 신경망 모델을 개발하였다. 해당 모델은 단순 다층 퍼셉트론(multilayer perceptron, MLP)과 XAI 기법을 결합하여 구성되었으며, 이를 통해 모델의 예측 과정에 대한 투명성을 확보하였다. 특히, 예측된 진동 평가인자를 설정된 소음 발생 기준선과 비교하여 소음 발생 여부를 판단하고, SHAP 알고리즘을 활용하여 진동 평가인자에 영향을 미치는 설계 인자들의 중요도를 분석하였다. 이 분석 결과는 단순히 실험 데이터를 통해 소음 발생 여부를 예측하는 데 그치지 않고, 반복적인 진동 실험 없이 설계 인자만으로 소음 발생 여부를 정확히 예측할 수 있는 가능성을 제시한다. 더 나아가, 설계 최적화를 위한 주요 설계 인자를 식별할 수 있는 실질적 기초를 제공한다. 이 연구는 안전성을 확보하면서도 효율적인 설계 프로세스를 구현하기 위한 방향성을 제시하며, 시트벨트 리트랙터와 같은 중요 부품의 설계 및 품질 관리를 위한 새로운 접근 방식을 제안한다.
2. BSR 소음 발생 예측을 위한 주요 인자 선정
2.1 시트벨트 리트랙터의 이론 모델 근사화
차량의 시트벨트 리트랙터 구조와 이를 진동 모델로 근사화한 구조를 Fig. 1에 나타내었다. Fig. 1(a)에 나타난 것처럼, 리트랙터는 차량의 패널에 볼트를 이용하여 결합된다. 리트랙터는 차량의 하부 구조에 고정되며, 내부에는 벨트를 감고 풀어주는 메커니즘이 포함되어 있다. 최근의 리트랙터에는 차량 전복 여부를 확인하기 위한 구형 기반 감지 장치가 추가로 포함되어 있다. 이 장치는 차량의 전복 상황에서 시트벨트를 즉시 고정하여 탑승자의 안전을 확보하는 데 기여한다.
그러나 이 전복 감지 장치는 차량 주행 중에 발생하는 진동이나 도어 개폐 충격 등의 외부 요인으로 인해 소음을 유발할 가능성이 있다. 이러한 소음은 리트랙터 내 구슬의 미세한 움직임에서 기인하며, 이를 줄이기 위해서는 리트랙터로 전달되는 진동을 최소화하는 것이 중요하다. 따라서 패널로부터 리트랙터로 전달되는 변위를 정량화하고 평가하고 분석할 필요가 있다.
Fig. 1(b)는 리트랙터를 바닥 가진 모델로 근사화한 구조를 보여준다. 이 모델은 차량 바닥에서 발생한 진동이 리트랙터와 전복 감지 장치로 전달되는 과정을 수학적으로 분석하기 위한 접근법이다. 차량 바닥 구조는 도로의 불규칙성, 엔진 진동, 외부 충격 등 다양한 요인으로 인해 가진을 유발하며, 이 진동은 리트랙터를 통해 전복 감지 장치로 전달된다. 리트랙터는 금속 패널에 볼트로 고정되며, 이 결합은 스프링 강성과 감쇠로 모델링된다. 리트랙터 내부 구성 요소 간 상호작용으로 동적 거동이 발생하며, 특히 전복 감지 장치에서 공진 현상이나 미세한 충돌이 발생하면 소음으로 나타날 수 있다.
바닥 가진 모델에서 변위전달률은 외부 진동이 리트랙터 상단부로 전달되는 진폭을 정량적으로 평가하는 핵심 지표이다. 변위전달률 분석을 통해 특정 주파수 대역에서 발생하는 진동 증폭이나 공진 현상을 파악할 수 있으며, 이를 제어함으로써 리트랙터 내부 전복 감지 장치의 과도한 진동과 소음을 효과적으로 줄일 수 있다.
변위전달률에서 질량의 진폭을 효과적으로 줄이기 위해 2개의 물리적 요인이 중요하게 고려된다. 시스템 강성은 차량의 진동 주파수가 공진 주파수보다 낮은 대역에서 주요한 영향을 미친다. 높은 강성은 외부 충격으로 발생된 진동에 대해 높은 저항성을 가진다. 감쇠계수는 공진 주파수에서 진동 에너지를 효과적으로 흡수하여 진폭을 줄이는 데 중요한 역할을 한다. 충분한 감쇠는 외부 충격에 의한 소음과 진동을 줄일 수 있다. 이를 통해 리트랙터의 진동 및 소음 발생을 해결하기 위한 설계 방향을 도출할 수 있다. Table 1에 제시된 설계 인자는 리트랙터 시스템의 기계적 안정성과 동적 특성에 직접적인 영향을 미친다. 각각의 설계인자는 리트랙터의 신뢰성을 보장하고, 진동 및 소음 문제를 해결하기 위해 중요한 기준으로 고려된다. 이 연구에 사용된 시트벨트 리트랙터는 대부분 동일 제조사의 제품으로 구성되어 있어, 설계 인자 분석에 있어 제조사 간 구조적 차이에 따른 영향은 미미할 것으로 보이며, 설계 인자 자체의 영향력을 분석하는 데 적합한 조건을 갖추고 있다고 판단된다.
Nm은 리트랙터를 차량에 고정하기 위해 사용되는 마운트의 개수를 나타내며, 이는 리트랙터의 안정성과 진동 전달 특성에 중요한 영향을 미친다. 마운트가 많을수록 리트랙터의 고정력이 증가하여 시스템의 안정성이 향상되지만, 구조적 복잡성과 무게가 증가한다. Nm은 MCK 시스템에서 스프링 요소로 모델링되며, 전체 시스템 강성에 직접적인 영향을 준다. Lp는 리트랙터를 고정하는 패널의 두께로, 강성과 내구성을 결정짓는 중요한 설계 요소이다. 패널 두께가 두꺼울수록 구조 강성이 증가하여 외부 진동 및 충격에 대한 저항성이 향상되지만, 차량 무게의 증가 및 제조 비용 상승으로 이어진다. Lh는 차량 차체 하부에서 리트랙터 마운트까지의 높이를 의미하며, 진동 전달 경로 및 공진 특성에 직접적으로 영향을 미친다. Lh가 클 경우, 리트랙터와 차체 사이의 진동 전달 경로가 길어져 진동 감쇠 효과가 있지만, 특정 공진 주파수에서 시스템이 불안정하게 된다. Lp와 Lh는 MCK 시스템에서는 스프링 강성(K)에 대응되며, Lp는 클수록, Lh는 작을수록 높은 강성으로 모델링 된다. Ms는 시트벨트 자체의 무게를 나타내며, 이는 리트랙터 시스템의 동적 응답과 감쇠 특성에 중요한 영향을 미친다. 무게가 증가하면 관성력이 커져 리트랙터의 감쇠 요구 사항이 높아지지만, 반대로 너무 가벼울 경우 리트랙터의 안정적인 회복 동작에 영향을 준다. Ms는 MCK 시스템에서 집중 질량(M)으로 모델링된다.
이와 같이, Nm, Lp, Lh, Ms는 각각 리트랙터의 소음 발생과 신뢰성 확보에 중요한 설계 인자로 작용하며, 이를 최적화함으로써 리트랙터의 진동 및 소음 문제를 효과적으로 해결할 수 있다. 따라서 이러한 설계 기준을 면밀히 검토하여 리트랙터의 소음 발생 문제를 방지하고 신뢰성을 확보하는 것이 중요하다.
2.2 진동실험 계측 조건
리트랙터의 시스템 강성과 감쇠 계수를 측정하기 위한 실험을 진행하였다. 실험 장치의 개요는 Fig. 2에 나타내었다. 리트랙터는 차량의 판넬에 볼트로 고정되었으며, 리트랙터 하단의 볼트 위치에서 가진 및 응답 데이터를 수집하였다. 대상 구조물의 동적 거동을 평가하기 위해, 볼트를 임팩트 해머(086D05, PCB Piezotronics)로 타격하여 0 Hz ~ 1024 Hz 범위의 주파수 성분을 가진 진동을 생성하였다. 진동 응답은 볼트 위에 부착된 가속도계(356A32, PCB Piezotronics)를 사용하여 측정하였으며, DAQ 장치(Simcenter SCADAS XS, Siemens)를 통해 샘플링 속도 2048 Hz로 데이터를 수집하였다. 측정은 리트랙터 하단의 볼트 위치에서 수행되었으며, 이 위치는 차량 구조에서 진동 전달 경로를 대표하는 지점으로 선정되었다.
Experimental setup for measuring stiffness and damping coefficient of retractors with red arrow indicating impact location
수집된 진동 데이터를 기반으로 주파수 응답 함수(frequency response function, FRF)를 식 (1)과 같은 수식으로 계산하였다.
| (1) |
여기서 은 측정된 compliance를 나타내며, Sgf는 크로스 스펙트럼을, Sff는 오토 스펙트럼을 나타낸다. compliance 데이터는 리트랙터의 진동 평가인자를 분석하는 데 활용되었다.
2.3 진동실험 결과 및 정량적 평가인자 분석
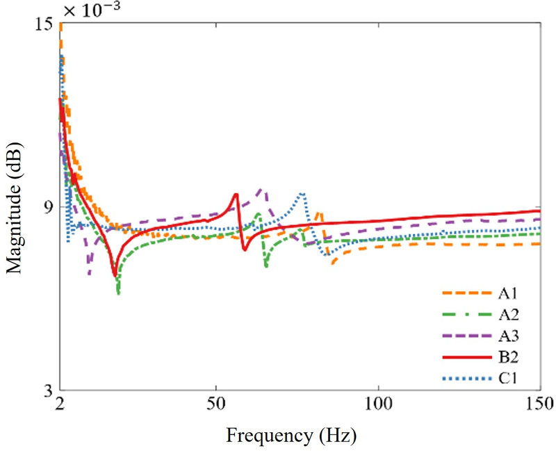
다양한 차종에서 측정된 총 15개의 실험 데이터 중 일부를 Fig. 3에 나타내었다. 각 실험 데이터는 동일 조건에서 10회 반복 측정한 결과의 평균값으로 산출되었다. 측정된 compliance 데이터의 분석을 통해 각 차종별 동적 특성을 정량적으로 비교하였다. 이 논문에서는 시스템 강성과 Q-factor와 같은 진동 평가인자를 정량적 지표로 이용하여 차종별 동적 특성을 평가하였다. 이러한 분석을 통해 차종 간 리트랙터 시스템의 진동 감쇠 특성과 구조적 차이를 비교할 수 있다. 특히, 시스템 강성과 Q-factor는 각각 리트랙터의 구조적 강도와 감쇠 특성을 정량적으로 평가하는 데 중요한 지표로 활용될 수 있다.
Compliance의 그래프의 높이는 시스템 강성의 역수로 결정되기 때문에, 계측된 compliance 데이터를 분석하여 각 시스템 강성을 도출하였다. 저주파수 영역의 실험 오차를 배제하기 위해, 20 Hz 이하의 결과는 분석에서 제외하였다. 도출된 시스템 강성을 바탕으로 각 차종별 리트랙터의 구조적 강도를 정량적으로 비교 및 평가하였다.
Q-factor는 감쇠 특성을 나타내는 주요 매개변수로, 값이 작을수록 감쇠가 커져 진동이 빠르게 감소하며, 값이 클수록 감쇠가 작아져 진동이 오래 지속되는 특성을 나타낸다. Q-factor는 공진 주파수(fr)를 기준으로 공진점에서 -3 dB로 감소하는 두 주파수(f1, f2) 간의 대역폭(f2–f1)으로 나눈 값으로 정의된다.
측정된 데이터를 기반으로 시스템 강성과 Q-factor를 계산한 결과를 Fig. 4에 나타내었으며, 이를 통해 리트랙터의 합격 여부와의 상관관계를 분석하였다. 차량의 소음 발생 여부는 현업 종사자들이 직접 소음 발생 여부를 판단하여 결정하였다. Fig. 4(a)는 시스템 강성 값과 차량의 합격 여부를 시각화 한 그래프이다. 파란색 막대는 합격 데이터를, 빨간색 막대는 불합격 데이터를 나타낸다. 시스템 강성 값에 따라 명확히 합격과 불합격이 구분되지는 않았지만, 대체로 높은 시스템 강성을 가지는 데이터가 합격 판정을 받는 경향이 확인되었다. 이는 시스템 강성이 높을수록 외부 충격에 대한 저항 능력이 우수함을 의미한다. 다만, 일부 낮은 시스템 강성을 가진 데이터에서도 합격 판정을 받은 차량이 있어, 시스템 강성만으로 소음 발생 여부를 완벽히 판정하기에는 한계가 있다.
Fig. 4(b)는 Q-factor와 합격 여부 간의 상관관계를 나타낸다. Q-factor는 공진 대역에서 에너지가 얼마나 효과적으로 감쇠 되는지를 나타내는 지표이다. 낮은 Q-factor는 외부 진동 에너지를 효과적으로 흡수하여 진폭을 억제함을 의미한다. 이에 따라 Q-factor가 낮은 데이터는 대체로 합격 판정을 받은 반면, Q-factor가 높은 데이터는 불합격 판정을 받는 경향이 있다. 그러나 일부 높은 Q-factor를 가지는 데이터에서 합격 판정을 받은 차량이 있어, 시스템 강성과 동일하게 Q-factor 단일 지표만으로 소음 발생 여부를 완벽히 판정하기에 한계가 있다.
이와 같이 시스템 강성과 Q-factor의 단일 지표만으로 차량의 소음 발생 여부를 명확하게 판단할 수 없다. 예를 들어, 낮은 시스템 강성을 가지거나 높은 Q-factor를 가진 데이터에서도 합격 판정을 받은 사례가 존재한다. 이는 차량 소음 발생 여부가 다양한 요인의 상호작용 결과임을 보여준다. 따라서 소음 발생 여부를 보다 정확히 평가하기 위해서는 시스템 강성과 Q-factor를 포함한 다중 지표를 활용한 통합적 분석이 필요하다. 이는 개별 지표의 한계를 보완하고, 시스템의 동적 거동과 감쇠 특성을 종합적으로 고려하여 신뢰도 높은 판정을 가능하게 한다.
2.4 머신러닝을 통한 BSR 소음 발생과 진동 평가인자와의 상관성 분석
시스템 강성과 Q-factor를 결합하여 차량의 합격 여부를 구분한 분석 결과를 Fig. 5에 나타내었다. x축은 Q-factor, y축은 시스템 강성을 나타내며, 데이터는 합격 판정은 파란색 점, 불합격 판정은 빨간색 점으로 표시하였다. 합격 데이터는 대체로 낮은 Q-factor와 높은 시스템 강성을 가지는 경향을 보인다. 이는 감쇠 특성이 우수하고 구조적 강도가 높은 시스템이 더 안정적인 성능을 보임을 나타낸다. 반면, 불합격 데이터는 높은 Q-factor와 낮은 시스템 강성 값을 가지는 영역에 주로 분포한다. 이러한 분포 특성은 시스템 강성과 Q-factor가 시스템의 성능 평가에서 서로 보완적으로 작용할 수 있음을 보여준다. 그래프에 표시된 직선은 SVM을 통해 도출된 소음 발생 기준선을 나타내며, 이 기준선은 방정식 system stiffness = 0.16 × Q-factor + 111.46으로 정의된다. 기준선 상단에 위치한 데이터는 합격, 하단에 위치한 데이터는 불합격으로 판정된다. 그래프의 점선은 SVM 분석을 통해 도출된 신뢰 구간을 나타내며, 해당 구간 내에서는 기준선의 신뢰도가 높음을 의미한다. 이 결과는 시스템 강성과 Q-factor를 개별적으로 분석하는 것보다, 두 인자를 결합하여 분석함으로써 차량 리트랙터의 BSR 성능을 더 정확하게 평가할 수 있음을 나타낸다.
3. 설명 가능한 인공지능을 이용한 시스템 강성 및 Q-factor 예측
실험 데이터 기반의 리트랙터 성능 검증은 구조적 특성을 직접적인 분석과 평가가 가능하지만, 반복적인 실험이 요구된다. 반복 실험은 시간적 · 인적 비용을 크게 소모하며, 실험 환경의 변동성과 측정 오차로 인해 일관된 평가를 보장하지 않는다. 따라서 이 연구에서는 설계 단계에서 구조적 설계 변수만으로 리트랙터의 소음 발생 여부를 예측할 수 있는 새로운 알고리즘을 제안한다. 이를 위해 리트랙터의 설계 파라미터로부터 정량적 진동 평가인자를 도출하는 XAI 모델을 구축하였다. 제안된 모델은 설계 변수를 입력 데이터로 활용하여 리트랙터의 시스템 강성과 Q-factor를 예측하여, 소음 발생 여부를 평가한다. 또한, 앞에서 정의된 소음 발생 기준선을 통해 예측된 진동 평가인자의 합격 여부를 판단한다. 예측된 진동 평가인자에 영향을 미치는 핵심 설계 변수를 파악하면, 성능 검증과정에서 발생할 수 있는 잠재적인 문제를 사전에 예방할 수 있다. 이를 위해 XAI 기법을 적용하여 시스템 강성과 Q-factor에 미치는 주요 설계 인자를 도출하고, 모델의 예측 결과에 대한 설명 가능성을 확보하였다.
3.1 설명 가능한 인공지능 네트워크 구조 및 하이퍼 파라미터
XAI 기반의 신경망을 통해 진동 평가인자를 도출하기 위해 입력 변수로 Ms, Lh, Lp, Nm을 사용하였다. 모델 구조는 입력층 1개, 은닉층 3개, 출력층 1개로 구성된 MLP로 설계되었다. 입력층에는 4개의 설계 인자를 반영하였으며, 은닉층은 각각 256개, 128개, 64개의 뉴런으로 구성하였다. 활성화 함수로는 비선형성을 부여하기 위해 ReLU 함수를 적용하였다. 출력층은 2개의 뉴런으로 구성되어 시스템 강성과 Q-factor를 동시에 예측하도록 설계하였다. 모델 학습은 Adam 최적화 알고리즘을 사용하였고, 학습률은 0.001로 설정하였다. 손실 함수는 평균 제곱 오차(MSE)를 사용하였으며, 총 5000회의 학습 에폭을 진행하였다. 총 15개의 차량 데이터는 학습데이터 12개, 테스트 데이터 3개로 나눠서 학습을 진행하였다.
3.2 학습 결과 및 모델 성능 평가
모델 학습 과정에서 에폭별 MSE 변화를 분석한 결과를 Fig. 6(a)에 나타내었다. 학습이 진행됨에 따라 MSE는 지속적으로 감소하였으며, 5000 에폭에서 2·938×10-12로 수렴하였다. 이는 모델이 안정적으로 학습되었음을 보여준다. 학습이 완료된 모델을 테스트 데이터에 적용한 결과를 Fig. 6(b)에 제시하였다. 여기서 예측된 시스템 강성과 Q-factor 값은 실제 값과 비교되었으며, 소음 발생 기준선과도 대조되었다. 테스트 데이터로 사용된 A1 차종의 경우, 시스템 강성은 117.3, Q-factor는 23.7로 예측되었으며, 실제 시스템 강성은 120.0, Q-factor는 25.5로 약 4.6 %의 오차를 보였다. A8 차종에서는 시스템 강성이 106.7, Q-factor는 24.4로 예측되었고, 실제 시스템 강성은 113, Q-factor는 48.5로 약 24.8 %의 오차를 나타냈다. 마지막으로, C1 차종의 시스템 강성은 118.3, Q-factor는 31.0으로 예측되었으며, 실제 값은 시스템 강성 118.0, Q-factor 30.1로 약 1.5 %의 오차를 기록하였다. 이러한 결과는 적은 데이터 개수로 인해 일부 오차를 포함하고 있지만, 이는 데이터의 개수가 증가됨에 따라 개선될 것으로 판단된다. 또한, 예측 값이 소음 발생 기준선을 벗어나지 않아 리트랙터의 BSR 성능 평가에 문제가 없음을 확인할 수 있다.
이 결과는 이 연구에서 제안된 신경망 모델이 시스템 강성과 Q-factor를 예측하는 데 있어 유효함을 보여준다. 또한, 예측된 진동 평가인자를 통해 리트랙터의 합격 여부를 문제없이 판단할 수 있음을 확인하였다. 이를 통해, 실험 없이 설계 정보 만으로도 정량적인 진동 평가인자를 예측하고, 이를 이용한 BSR 성능 평가는 설계 단계에서 사전 검사 방법으로 활용될 수 있다. 더 많은 데이터를 확보하여 학습에 반영할 경우, 전체적인 모델 성능이 크게 개선될 것으로 기대된다. 이러한 결과는 차량의 설계 과정에서 신경망 기반 분석의 실용 가능성을 입증하며, 데이터 기반 접근법을 활용한 효율적인 품질 관리 및 설계 최적화로의 적용 가능성을 제시한다.
3.3 설계 인자의 중요도 분석
SHAP 알고리즘을 활용하여 설계 인자들이 시스템 강성과 Q-factor에 미치는 상대적 중요도를 정량적으로 분석하였다. SHAP는 게임 이론의 Shapley 값을 기반으로 각 특징이 모델 예측에 미치는 기여도를 공정하게 분배하는 알고리즘이다. 이 알고리즘은 모델에 독립적으로 적용 가능하며, 선형 모델, 트리 기반 모델, 신경망 등 다양한 예측 모델에서 활용할 수 있다.
특정 특징 i의 SHAP값 ϕi는 식 (2)와 같이 계산할수 있다.
| (2) |
이때, N은 모든 특징들의 집합, S는 i를 제외한 특징들의 모든 가능한 부분집합, f(S)는 특징 집합 S에 대해 모델이 계산한 예측값, |S|는 부분 집합 S에 포함된 특징의 개수, |N|은 전체 특징의 개수를 나타낸다. 이 수식은 특징 i가 예측값에 기여한 정도를 모든 가능한 조합 S에 대해 계산한 뒤, 이를 가중 평균으로 나타낸 것이다. SHAP는 이러한 계산을 통해 각 특징의 기여도를 공정하게 분배하며, 모든 특징의 SHAP 값 ϕi를 합한 값이 모델 전체의 예측값과 동일하도록 보장한다. SHAP 알고리즘을 활용하면 설계 인자가 모델 예측에 미친 영향을 정량적으로 평가할 수 있으며, 이를 통해 시스템 강성과 Q-factor에 영향을 미치는 주요 설계 인자들을 파악할 수 있다.
SHAP 라이브러리의 shap.Explainer를 사용해 각 설계 인자가 시스템 강성과 Q-factor에 미치는 영향을 계산하고, 이를 막대그래프로 시각화한 결과를 Fig. 7에 나타내었다. Fig. 7(a)는 시스템 강성에 대한 각 설계인자의 기여도를 정량적으로 보여준다. 그래프에서 마운트 개수가 8.06으로 가장 높은 영향도를 보였으며, 이는 시스템 강성을 보완하기 위해 마운트의 개수를 조정하는 것이 가장 효과적임을 보여준다. 시트벨트 중량은 4.88로 두 번째로 높은 영향도를 보였고, 그 뒤를 이어 판넬 두께는 3.97, 홀 높이는 3.85로 상대적으로 낮은 영향도를 보였다. 따라서 시스템 강성을 개선하기 위해서는 마운트 개수와 시트벨트 중량을 우선적으로 고려해야 한다.
한편, Fig. 7(b)는 Q-factor에 대한 설계인자의 영향도를 보여준다. 시트벨트 중량이 10.26으로 가장 높은 영향도를 나타내었다. 이는 Q-factor를 개선하기 위해 시트벨트 중량을 조정하는 것이 중요하다는 것을 의미한다. 또한, 마운트 개수는 6.97, 홀 높이는 6.2, 판넬 두께는 6.1로 나타났다. 따라서 Q-factor를 개선하기 위해서는 시트벨트의 중량과 마운트의 개수를 우선적으로 고려해야 한다. 이 결과는 설계 인자들이 시스템 강성과 Q-factor에 미치는 기여도를 구체적으로 파악할 수 있는 유용한 정보를 제공한다. 특히, 시스템 강성과 Q-factor는 리트랙터의 구조적 강도와 감쇠 특성을 나타내는 주요 지표이므로, 두 지표에 미치는 설계 인자의 영향을 정량적으로 평가하는 것은 설계 최적화의 중요한 기반이 된다.
4. 결 론
이 연구에서는 시트벨트 리트랙터의 소음 발생 측면에서의 BSR 성능을 평가하기 위한 새로운 접근법을 제안하였다. 이를 위해 진동 실험에서 측정된 compliance 데이터를 활용하여 시스템 강성과 Q-factor라는 두 가지 주요 진동 평가 지표를 도출하였다. 시스템 강성은 리트랙터의 구조적 강도를, Q-factor는 감쇠 특성을 나타내는 지표로서, 리트랙터의 진동 특성을 정량적으로 평가하는 데 활용되었다. 도출된 시스템 강성과 Q-factor를 결합하여 SVM 분석을 통해 소음 발생 기준선을 설정하였으며, 이를 통해 기존 단일 지표 기반 평가의 한계를 보완하고 판정 정확도를 향상시켰다. 또한, 설계 변수만을 활용하여 리트랙터의 진동 평가 지표를 예측하기 위해 다층 퍼셉트론 기반 신경망 모델을 구축하고, 예측 결과를 통해 모델의 유효성을 검증하였다. 평균 제곱 오차는 5000 에폭에서 안정적으로 수렴하여 학습의 안정성을 확인할 수 있었으며, 테스트 데이터에서 시스템 강성과 Q-factor를 예측하는 데 평균 10 % 이내의 오차를 보였다. 이는 예측된 값이 성능 평가기준 내에 위치하여 성능 검증에 문제가 없음을 의미한다. 또한, SHAP 알고리즘을 적용하여 설계 변수들이 시스템 강성과 Q-factor에 미치는 영향을 정량적으로 분석하였다. 분석 결과, 시스템 강성에는 마운트 개수(Nm)가 가장 큰 영향을 미치는 변수로 나타났으며, SHAP 값은 8.06으로 다른 변수들에 비해 높은 기여도를 보였다. Q-factor에는 시트벨트 중량(Ms)이 가장 큰 영향을 미치는 변수로 도출되었으며, SHAP 값은 10.26으로 기록되었다. 이를 통해 설계 단계에서 시스템 강성과 Q-factor를 효과적으로 최적화할 수 있는 구체적인 방향성을 제시하였다. 이 연구에서 제안된 방법론은 설계 단계에서 잠재적인 BSR 소음 발생을 사전에 방지하고, 반복 실험으로 인한 시간적 · 인적 비용을 절감할 수 있는 가능성을 입증하였다. 이는 자동차 설계 및 품질 관리 프로세스의 효율성과 신뢰성을 높이는 데 기여할 것으로 기대된다.
Acknowledgments
이 연구는 국립금오공과대학교 대학 연구과제비로 지원되었음(2024 ~ 2026).
References
-
Masri, J., Amer, M., Salman, S., Ismail, M. and Elsisi, M., 2024, A Survey of Modern Vehicle Noise, Vibration, and Harshness: A State-of-the-art, Ain Shams Engineering Journal, Vol. 15, No. 10, 102957.
[https://doi.org/10.1016/j.asej.2024.102957]
-
Shul, Y., Lim, S., Moon, S. and Park, N. C., 2022, Localization of Rattle Noise Sources in the Vehicle Underbody using Acceleration Signals, Mechanical Systems and Signal Processing, Vol. 166, 108447.
[https://doi.org/10.1016/j.ymssp.2021.108447]
-
Kim, S., Kim, J.-K. and Altinsoy, M. E., 2022, Preliminary Evaluation of Noise Suppression Performance by Selected Control Position in an Active Noise Control System of a Passenger Car, Transactions of the Korean Society for Noise and Vibration Engineering, Vol. 32, No. 6, pp. 544~551.
[https://doi.org/10.5050/KSNVE.2022.32.6.544]
-
Liang, L., Chen, S. and Li, P., 2021, Experiment and Evaluation Study on Rattle Noise in Automotive Seat System, International Journal of Automotive Technology, Vol. 22, pp. 391~402.
[https://doi.org/10.1007/s12239-021-0037-z]
-
Kwak, Y., Park, S. M., Lee, J. and Park, J., 2020, Rattle Noise Source Localization through the Time Reversal of Dispersive Vibration Signals on a Road Vehicle, Wave Motion, Vol. 93, 102452.
[https://doi.org/10.1016/j.wavemoti.2019.102452]
-
Morgan, C. D., Naganarayana, B. P. and Shankar, S., 2004, Comparative Evaluation of Seat Belt Retractor Websense Mechanism Rattle Noise, SAE Transactions, Vol. 113, pp. 127~134.
[https://doi.org/10.4271/2004-01-0391]
-
Machens, K. U. J., Neumann, J., Scholz, J. and Markiewicz, M., 2017, Ball Sensor Rattle: Experimental and Numerical Sensitivity Study for Seatbelt Applications, Proceedings of Meetings on Acoustics, Vol. 30, No. 1.
[https://doi.org/10.1121/2.0000531]
-
Linardatos, P., Papastefanopoulos, V. and Kotsiantis, S., 2020, Explainable AI: A Review of Machine Learning Interpretability Methods, Entropy, Vol. 23, No. 1, Article No. 18.
[https://doi.org/10.3390/e23010018]
-
Arrieta, A. B., Díaz-Rodríguez, N., Del Ser, J., Bennetot, A., Tabik, S. et al., 2020, Explainable Artificial Intelligence(XAI): Concepts, Taxonomies, Opportunities and Challenges Toward Responsible AI, Information Fusion, Vol. 58, pp. 82~115.
[https://doi.org/10.1016/j.inffus.2019.12.012]
-
Marmolejo-Saucedo, J. A. and Kose, U., 2024, Numerical Grad-cam Based Explainable Convolutional Neural Network for Brain Tumor Diagnosis, Mobile Networks and Applications, Vol. 29, No. 1, pp. 109~118.
[https://doi.org/10.1007/s11036-022-02021-6]
-
Pradhan, B., Lee, S., Dikshit, A. and Kim, H., 2023, Spatial Flood Susceptibility Mapping using an Explainable Artificial Intelligence(XAI) Model, Geoscience Frontiers, Vol. 14, No. 6, 101625.
[https://doi.org/10.1016/j.gsf.2023.101625]
-
Ge, Z. G., Zhou, X., Li, Y., Zhang, X. and Li, W., 2024, Interpretable Machine Learning Approaches for Damage Identification in Drilling Risers, Ocean Engineering, Vol. 309, 118495.
[https://doi.org/10.1016/j.oceaneng.2024.118495]
-
Mangalathu, S., Hwang, S.-H. and Jeon, J.-S., 2020, Failure Mode and Effects Analysis of RC Members Based on Machine-learning-based SHapley Additive exPlanations(SHAP) Approach, Engineering Structures, Vol. 219, 110927.
[https://doi.org/10.1016/j.engstruct.2020.110927]






