
고속조준거울의 구동 성능을 고려한 변위 증폭형 압전 액추에이터 구조 설계
Ⓒ The Korean Society for Noise and Vibration Engineering
# A part of this paper was presented at the KSNVE 2025 Annual Autumn Conference
Abstract
The development of robust and flexible systems to steer laser beams with high accuracy and precision has been widely recognized as essential in applications such as inter-satellite communications and high-energy laser weapon systems. In particular, fast steering mirror (FSM) systems direct a laser beam toward a target by rotating a mirror using the driving force of an actuator, requiring a large steering angle and high bandwidth. In this study, an amplified piezoelectric actuator (APA) was designed to overcome the limited stroke of conventional piezoelectric actuators. A piezo-structural coupled analysis model incorporating piezoelectric effects was developed and validated using finite element and modal analyses. Based on the relationship between the first natural frequency of an FSM and the equivalent stiffness of the APA, a design strategy was proposed to simultaneously satisfy the required steering angle and improve the natural frequency of the FSM.
Keywords:
Fast Steering Mirror, Amplified Piezoelectric Actuator키워드:
고속조준거울, 증폭형 압전 액추에이터1. 서 론
레이저를 원하는 방향으로 고속 고정밀하게 조준하는 초정밀 빔 지향 기술은 장거리 위성 간 통신, 고에너지 레이저 무기 등 다양한 분야에서 활용되고 있다. 고속조준거울(fast steering mirror, FSM)은 액추에이터의 구동력과 변위를 이용하여 탑재된 광학 거울의 조향각을 변화시킴으로써, 레이저 빔을 목표 지점에 지향하는 장치이다. 진동과 대기 난류 등 다양한 외란 환경에서도 레이저 빔을 목표 지점에 빠르고 정밀하게 지향하기 위해 FSM은 고속 응답, 넓은 구동각, 높은 정밀도 등의 구동 성능이 요구된다. 레이저 무기에 이용되는 FSM의 경우 고출력화로 인해 빔의 직경이 증가함에 따라, 고품질의 레이저 빔을 구현하기 위해서는 빔 직경에 비해 충분히 큰 광학 거울이 요구된다. 이에 따라 대구경 광학 거울을 탑재한 FSM 개발에 관한 연구가 활발히 진행되고 있다(1).
FSM에 사용되는 구동기로는 대표적으로 보이스 코일 액추에이터(voice coil actuator, VCA)(2), 릴럭턴스 액추에이터(3), 적층형 압전 액추에이터(piezoelectric ceramic stack actuator, PCSA)가 존재한다(4). 이 중 PCSA는 높은 추력, 빠른 응답 속도 등의 장점을 갖지만, 구동부 길이의 0.1 % 수준의 적은 스트로크를 발생시켜 FSM의 구동범위가 제한되는 한계를 지닌다. 이러한 변위의 한계를 보완하기 위해 변위 증폭 구조가 적용되어, PCSA의 변위를 증폭시킴으로써 상대적으로 넓은 구동범위를 갖도록 하는 FSM이 개발되고 있다(5).
FSM의 구조 설계에서 중요한 고려 요소는 FSM의 운용환경에서 요구되는 구동각 성능을 만족시켜, 레이저를 목표 방향으로 정밀하게 지향할 수 있도록 하는 것이다. 동시에 압전형 FSM의 경우 구조물 공진에 대해 고려해야 한다. 고대역폭 성능을 만족하기 위한 제어기 설계는 FSM 구조물 공진에 영향을 받는다(6). 압전형 FSM의 경우 FSM 구조물의 1차 고유진동수가 높을수록, 제어기 설계 시 1차 고유진동수 앞의 확보 가능한 대역폭 영역이 넓어지므로 고대역폭 성능 확보에 유리해지는 이점이 존재한다.
이 연구는 변위 증폭 구조를 통해 PCSA의 변위가 증폭된 증폭형 압전 액추에이터(amplified piezoelectric actuator, APA)를 설계함으로써, PCSA의 변위 한계를 개선하고 FSM의 요구 구동각을 만족시키는 동시에 넓은 구동 범위를 확보할 수 있는 압전형 FSM을 구현하고자 한다. 이를 위해 APA에 사용되는 PCSA에 대한 모달 실험을 수행하여 실제 모델과 유사한 동특성을 갖는 유한요소 해석 모델을 구축하였으며, 압전-구조 연성해석(piezo-structural coupled analysis)을 통해 PCSA에 전압 인가 시 발생하는 변형 특성을 해석 모델에 반영하였다. 또한, FSM의 수식 기반 동적 모델링을 통해 FSM의 1차 고유진동수와 구동각을 APA의 최대 변위와 등가 강성과 관련된 관계식으로 나타내었다. 이를 바탕으로 APA의 주요 설계 변수를 변화시키며, 동일한 APA의 최대 변위를 유지하는 조건에서 등가 강성 변화에 따른 FSM의 구동각 및 1차 고유진동수 특성을 함께 분석하였다.
2. PCSA 해석 모델 구축
2.1 PCSA 단품 모달 실험
PCSA는 전압 인가 시 재료 내부에 전기장이 형성되며, 이로 인해 발생하는 역압전 효과(inverse piezoelectric effect)에 의해 변위가 생성되어 구동기로 작동한다. APA 작동원리는 Fig. 1과 같이 지렛대 원리에 기반하여, PCSA에 전압이 인가될 때 발생하는 변위와 추력을 변위 증폭 구조(displacement amplification mechanism)에 전달하고, 변위 증폭 구조를 통해 최종 PCSA의 변위를 증폭시킨다. 여기서 는 PCSA에 인가된 전압을 의미하며, 는 전압 인가 시 PCSA로부터 발생하는 추력을 나타낸다. 는 PCSA에서 발생한 변위 및 추력이 변위 증폭 구조에 전달되면서 발생하는 수평 방향 변위를 의미한다. 또한, 는 지렛대 원리에 기반한 변위 증폭 구조를 통해 최종적으로 증폭된 변위로서, APA의 최종 변위에 해당한다.
PCSA의 강성과 전압 인가 시 발생하는 변위 특성에 따라 변위 증폭 구조에 전달되는 PCSA의 추력 및 변위가 달라진다. 실제 PCSA와 강성 및 변형 특성의 오차가 크게 발생할 경우, 변위 증폭 구조에 전달되는 PCSA의 추력 및 변위에도 상당한 오차가 발생하게 되며, 이는 APA의 최대 변위 및 차단력 산정에 큰 영향을 미칠 수 있다. 따라서 APA 설계를 위해서는 실제 PCSA와 유사한 강성 및 변형 특성이 정확히 반영된 PCSA 유한요소 해석 모델을 우선적으로 구축할 필요가 있다. 또한, APA를 적용한 FSM의 구동각은 PCSA에 인가된 전압 차이에 따라 발생하는 APA의 최종 출력 변위 및 추력 차이에 의해 결정된다. 따라서 실제 PCSA와 유사한 강성과 변위 특성이 반영된 유한요소 해석 모델의 구축은 APA 및 FSM 설계에 중요한 요소이다.
압전층과 전극층으로 이루어진 다층 구조의 PCSA를 모두 유한요소 해석 모델에 반영할 경우 해석 시간 증가와 계산 부하 증대와 같은 한계가 발생한다. 이에 이 연구에서는 다층 PCSA 구조를 단일 body로 단순화하고, 횡등방성 압전체 물성치를 적용하여 해석 효율을 확보한 PCSA 유한요소 해석 모델을 구축하였다(7).
한편, 다층 구조를 단일층으로 단순화할 경우 실제 구조와의 강성 차이가 발생할 수 있다. 이에 따라 PCSA에 대해 모달 시험을 수행하고, 실험 결과와 유한요소 해석 모델의 동특성을 비교함으로써 구축된 해석 모델의 타당성을 검증하였다. 경계조건에 따른 오차를 최소화하기 위해 PCSA는 자유단(free-free) 상태에서 실험을 수행하였다. 자유단 조건을 모사하기 위해 Fig. 2와 같이 PCSA를 스폰지 위에 지지한 상태로 시험을 수행하였으며, 가진에는 임팩트 해머(084A17, PCB Piezotronics)를, 진동 응답 측정에는 가속도계(325A23, PCB Piezotronics)를 사용하였다. 데이터 취득 및 분석은 데이터 수집 장치(LMS SCADAS Mobile, Siemens)를 이용하여 실험 모달 해석을 수행하였다. 굽힘 모드(bending mode)를 측정하기 위해, PCSA의 전체 길이에 걸쳐 동일한 간격으로 7개의 계측 지점을 선정하여 모달 시험을 진행하였다. 또한, 축방향 모드 측정을 위해 가속도계를 PCSA 축방향 끝에 붙이고 반대쪽 끝단을 임팩트 해머로 가진하여 실험을 수행하였다.
자유단 상태에서의 PCSA의 모드형상(mode shape)은 Fig. 3에 나타내었으며, 동일한 모드형상에 대한 실험 결과와 해석 결과는 Table 1에 정리하였다. 두 결과를 비교한 결과, 자유단에서 굽힘 모드인 Mode 1과 Mode 2의 경우 5 % 이내의 오차를 보였으며, PCSA의 출력 변위와 추력과 관련된 축방향 모드는 1 % 이내의 오차를 나타냈다. 이를 통해 구축된 PCSA 유한요소 해석 모델의 타당성이 검증됨을 확인하였다.
2.2 PCSA 연성해석
PCSA 단품에 FSM 구동을 위한 최대 구동 전압 인 150 V를 인가하면 전체 길이 약 0.001의 수직 변형률(vertical strain)이 발생한다. 압전 액추에이터의 변형은 압전 변형 상수(piezoelectric strain constant)와 밀접하게 관련이 있으며, 해당 상수는 전기적 분극 방향과 전압 인가 시 발생하는 기계적 변위 방향에 따라 달라진다. 그중 압전 상수 은 분극 방향과 동일한 방향으로 발생하는 기계적 변형을 나타내는 압전 상수를 의미한다. PCSA의 수직 방향 변형 은 식 (1)과 같이 압전 상수 과 압전체의 적층 수 n, 인가전압 V에 비례하여 변형이 발생한다.
| (1) |
150 V 인가 시 실험에서 관측된 약 0.001의 수직 방향 변형률을 바탕으로, Fig. 4와 같이 PCSA 단품에 동일한 경계 조건과 전압 조건을 적용하여 유한요소해석을 수행하였다. 또한 piezoelectric-structural 연성해석을 수행하기 위해 Ansys Mechanical 2022 R2와 ACT extension을 활용하였다. PCSA의 수직 변형 거동을 실제와 유사하게 모사하기 위해 을 기반으로 등가 압전 상수를 도출하였으며, 이를 적용함으로써 실험에서 관측된 변형률과 일치하는 PCSA 유한요소해석 모델을 구축하였다.
3. FSM의 구동각과 고유진동수를 고려한 변위 증폭 구조 설계
3.1 FSM 구조 및 작동 원리
이 연구의 대상은 Fig. 5에 제시된 바와 같이 지름이 120 mm의 거울을 탑재하고 2축 tip/tilt 회전이 가능한 FSM이다. 설계된 FSM은 고속 tip/tilt 회전 시 대구경 거울을 안정적으로 지지하기 위해 mirror holder 구조를 포함하고 있으며, 2축 구동을 구현하기 위해 총 4개의 APA가 대칭적으로 배치되어 있다. 또한, mirror holder와 APA 사이의 안정적인 체결을 위해 pin 구조가 적용되었으며, 정밀한 tip/tilt 회전 거동을 구현하기 위해 flexure hinge가 FSM 구조물 중심부에 설계되어 있다. FSM의 2축 tip/tilt 회전 구동은 Fig. 6에 나타낸 것처럼 APA에 인가되는 전압 차로 인해 발생하는 변위 차이에 의해 발생한다. 한 쌍의 APA에는 FSM 구동을 위한 최대 구동 전압의 절반을 인가하고, 다른 쌍에는 최대 전압과 최소 전압을 각각 인가함으로써 FSM의 회전 거동이 발현된다.
3.2 FSM의 구동각과 고유진동수
APA가 적용된 FSM 구조물의 주요 모드와 동적 거동을 분석하기 위하여 모드 해석(modal analysis)을 수행하여 관심 대상인 1차 고유진동수를 포함한 상위 4개 모드를 추출하여 Fig. 7에 제시하였다. 이를 통해 FSM 구조물의 주요 모드 형상과 동특성을 파악하였다. FSM의 주요 동작 방향인 tip/tilt 방향의 모드는 각각 1차, 2차 모드에서 확인되었으며, 3차 모드는 FSM의 수직 방향으로 거동하는 모드와, 4차 모드는 APA 구조물의 국부(local) 거동 모드가 나타났다.
FSM의 주요 거동인 tip/tilt 운동은 Fig. 8과 같이 단순화된 동적 모델로 나타낼 수 있다. APA에 전압이 인가될 때 발생하는 추력으로 인해 모멘트가 형성되고, 이에 따른 FSM의 tip 방향 거동을 기술하는 운동 방정식을 유도하면 식 (2)와 같이 표현된다(5).
| (2) |
여기서, , , 는 각각 mirror, mirror holder, top plate의 관성모멘트를 의미한다. M은 APA로 부터 FSM에 작용하는 모멘트, c는 FSM 구조물의 등가 감쇠 계수, L은 FSM 중심과 APA 사이 거리, 그리고 는 APA의 등가강성을 나타낸다.
FSM의 등가 관성 모멘트는 식 (3)과 같이 FSM flexure hinge 상단에 위치한 mirror, mirror holder, 그리고 top plate 구조물의 관성모멘트를 합산한 값으로 표현된다. 또한, FSM 구조물의 등가 회전 강성은 식 (4)에 나타낸 것처럼 pin 구조 및 flexure hinge 구조물의 등가 회전 강성 , APA의 등가 강성 , 그리고 FSM 중심과 APA 사이 거리 L에 의해 결정된다.
| (3) |
| (4) |
APA의 등가강성은 식 (5)와 같이 APA에 FSM 구동을 위한 최대 전압이 PCSA에 인가되었을 때 외력이 작용하지 않는 조건에서의 APA의 최대 변위 와 APA의 차단력(blocked force) 의 비로 정의된다.
| (5) |
APA의 차단력은 Fig. 9에 나타낸 것처럼, APA의 양단을 고정한 상태에서 PCSA에 최대 전압을 인가할 때 발생하는 APA의 반력을 의미한다.
한편, 식 (3)의 FSM 구조물의 등가 관성모멘트와 식 (4)의 등가 회전 강성을 이용하면 FSM의 tip 회전 방향에 대한 고유진동수는 식 (6)과 같이 표현할 수 있다. 또한, 식 (2)에서 FSM의 동적 항을 무시한 정적 상태를 고려하면, FSM 구동을 위한 최대 전압이 APA에 인가될 때 발생하는 APA의 정적 구동각은 식 (7)과 같이 나타낼 수 있다. 이때 구동각은 APA의 등가 강성 , 최대 전압 인가 시 발생하는 APA의 최대 변위 그리고 FSM 중심과 APA 사이의 거리 L에 의해 결정된다.
| (6) |
| (7) |
FSM의 고유진동수 관계식 (6)과 구동각 관계식 (7)에 따르면, APA의 최대 변위 가 동일한 조건에서 APA의 등가 강성 이 증가할수록 FSM의 구동각이 커지고, 동시에 tip 회전에 대한 고유진동수 또한 상승함을 확인할 수 있다. 또한 식 (5)로부터 APA의 동일한 최대 변위 조건에서 차단력이 증가할수록 등가 강성이 증가함을 알 수 있다. 동일한 최대 변위에서 차단력이 커지면 FSM 구동을 위해 전달되는 추력이 증가하고, APA의 등가 강성 향상으로 FSM의 tip 회전에 대한 고유진동수 또한 상승하게 된다.
따라서, 변위 증폭 구조 설계 시에는 APA의 동일한 최대 변위를 유지하면서, 차단력을 향상시킬 수 있는 설계가 필요하다.
3.3 변위 증폭 구조 설계
마름모형 변위 증폭 구조의 주요 설계 변수는 Fig. 10과 같이 각도 θ, 두께 t, 그리고 폭 w이 존재한다. 변위 증폭 구조의 대각선 길이 l은 PCSA의 길이에 의존하여 결정되며, 길이 l의 변화는 미미하다. 해당 구조는 중심대칭 형태를 가지므로, 전체 구조의 1/4 모델을 이용하여 변위 특성을 해석할 수 있다. 변위 증폭 구조에 힘이 하중이 작용할 때 발생하는 1/4 빔의 변형을 통해 입력 강성과 변위 증폭비를 설계 변수인 각도, 두께, 폭과의 관계로 식 (8), 식 (9)와 같이 나타낼 수 있다(8,9).
| (8) |
| (9) |
변위 증폭 구조의 입력 강성 은 식 (8)과 Fig. 11에 나타낸 바와 같이, 변위 증폭 구조에 수평 방향 하중 이 작용할 때 발생하는 변위 에 대한 비로 정의된다. 여기서 E는 변위 증폭 구조에 사용된 재료의 탄성계수를 의미하며, 입력강성은 변위 증폭 구조의 주요 설계 변수인 두께, 폭, 그리고 각도에 의해 결정된다. 변위 증폭 구조의 재료로는 structural steel을 적용하였다.
또한, 변위 증폭 구조의 변위 증폭비 R은 Fig. 12에 나타낸 것과 같이, 변위 증폭 구조에 하중이 작용하여 변형이 발생할 때, 수평 방향 변위에 대해 구조 상부에서 발생하는 수직 방향 변위의 비로 정의된다. 변위 증폭비는 설계 변수 각도와 두께에 따라 변화하며, 폭의 변화에는 거의 영향을 받지 않는다.
APA의 최대 변위는 PCSA에 전압이 인가될 때, 변위 증폭 구조의 입력 강성에 의해 단품 PCSA의 자유 변위(free displacement)보다 감소하게 되며, 이후 변위 증폭 구조의 변위 증폭비에 따라 PCSA의 변위가 증폭되어 최종 APA 최대 변위가 형성되며 이는 식 (10)와 같이 표현된다. 여기서 는 PCSA의 등가 강성을 의미한다.
| (10) |
APA의 최대 변위는 PCSA의 등가 강성뿐만 아니라 변위 증폭 구조의 변위 증폭비와 입력 강성에 의해 결정된다. 변위 증폭비와 입력 강성은 변위 증폭 구조의 설계 변수인 두께, 폭, 그리고 각도에 따라 달라지므로, 이들 설계 변수는 APA 성능을 결정하는 핵심 인자로 볼 수 있다.
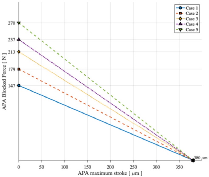
현재 설계된 FSM에서 APA간 거리 91.5 mm와 FSM의 pin 및 flexure hinge 구조물의 강성을 고려할 때, FSM의 목표 구동각인 4 mrad을 만족하기 위해 필요한 APA의 최대 변위는 약 380 μm로 산정되었다. 이에 기반하여 FSM의 설계 공간 내에서 변위 증폭 구조의 주요 설계 변수 두께, 각도, 폭을 변화시키며 APA의 동일한 최대 변위인 380 μm로 동일하게 유지한 조건에서 APA 차단력 비교를 위한 유한요소 해석을 수행하였고, 그 결과를 Fig. 13에 제시하였다 (이 연구에서 설계된 변위 증폭 구조의 각도, 두께, 그리고 폭에 대한 구체적인 수치는 보안상의 이유로 표기하지 않으며, case 1의 설계를 기준으로 나머지 case에 대한 설계 변수는 무차원의 비율로 표현하였다).
또한, 동일한 APA의 최대 변위 조건 하에서 APA의 등가 강성 차이에 따른 FSM의 구동각 및 고유진동수 차이를 비교하였으며 이는 Table 2에 나타내었다. APA의 동일한 최대 변위 조건에서 APA의 등가 강성이 증가함에 따라 식 (6)과 식 (7)을 통해 알 수 있듯이 FSM의 고유진동수가 증가하며 동시에 구동각도 증가함을 알 수 있다.
3.4 FSM 주파수 응답 함수 비교
조화해석(harmonic analysis)을 수행하여 FSM 제어기 설계를 위한 구동 응답 특성을 분석하였다. 이를 통해 FSM 구동에 따른 주파수 응답 함수(frequency response function, FRF)를 예측하였으며, APA 설계 변화에 따른 주파수 응답의 차이를 Fig. 14에 제시하였다. 조화해석의 주파수 범위는 FSM의 목표 구동 대역폭인 100 Hz을 충분히 포함하도록 설정하였으며, 특히 FSM의 1차 고유진동수인 tip 회전 방향의 주요 모드가 나타나는 구간을 중심으로 선정하였다.
분석 결과, case 5의 APA를 적용한 FSM의 경우 case 1 대비 FSM의 목표 구동각 성능을 만족하면서도 APA의 등가 강성이 증가에 따라 tip 회전 방향의 고유진동수가 상승하여 공진주파수 peak가 더 높은 주파수에서 나타나는 것으로 확인되었다. 이에 따라 FSM 1차 고유진동수 이전 구간에서 주파수 응답의 magnitude가 평탄한(flat) 영역이 확장되었으며, 이는 crossover frequency 설계 가능 범위가 넓어짐을 의미한다. 따라서 case 5를 적용한 FSM은 case 1 대비 고대역폭 성능 확보를 위한 제어기 설계에 유리한 plant 응답 특성을 나타낸다. 이는 APA 설계 변경을 통해 FSM의 목표 구동각을 만족시키는 동시에 FSM의 1차 고유진동수를 증가시켜, 고대역폭 성능 확보를 위한 제어기 설계를 보다 용이하게 하는 구조적 이점을 갖는 설계가 가능함을 보여준다.
4. 결 론
이 연구는 마름모형 변위 증폭 구조 설계를 통해 APA를 적용한 FSM의 구조 설계를 수행하였다. 압전 액추에이터의 짧은 구동 범위로 인해 제한되는 압전형 FSM의 구동각 한계를 개선하기 위해, 변위 증폭 구조를 적용하여 상대적으로 넓은 FSM의 구동 범위를 확보하였다. 동시에 FSM의 1차 고유진동수인 tip 방향 고유진동수를 향상시켜 고대역폭 제어기 설계에 유리하도록 하는 것을 목표로 하였다. 이를 위해 modal test와 압전-구조 연성해석을 통해 실제 PCSA와 유사한 해석 모델을 구축하였으며, FSM의 이론적 동적 모델을 통해 FSM의 구동각과 고유진동수를 APA의 등가 강성과 연계된 식으로 나타내었다. 관련 식을 통해 동일한 APA 최대 변위 조건에서 APA의 등가 강성이 증가할수록 FSM의 구동각과 고유진동수가 동시에 증가함을 확인하였다. 이를 통해 마름모형 변위 증폭 구조의 주요 설계 변수인 두께, 각도, 폭을 변화시키며, 동일한 APA의 최대 변위 조건에서 차단력을 비교하는 설계 변수 연구를 수행하였다. 그 결과, APA의 동일한 최대 변위 조건에서 차단력이 클수록 APA의 등가 강성이 증가하였으며, 이에 따라 FSM의 목표 구동각을 만족시키며 1차 고유진동수가 30 % 향상됨을 확인하였다. 향후, 이 연구를 통해 제안된 APA 설계 및 분석 방법은 FSM의 구동범위를 만족시키는 동시 1차 고유진동수를 향상시킬 수 있는 효율적인 구조 설계 방향을 제시할 수 있을 것으로 기대한다.
Acknowledgments
이 결과물은 방위사업청의 재원으로 국방기술진흥연구소의 방산기업 100 프로젝트 기술개발 전용지원사업의 지원을 받아 연구되었음(NO. R240210).
References
-
Lim, S. B., Yoo, J., Jung, J. W., Chung, S., Kim, J. et al., 2022, Simulation Model of the Fast Steering Mirror Considering Piezoelectric Effect, Transactions of the Korean Society for Noise and Vibration Engineering, Vol. 32, No. 6, pp. 623~630.
[https://doi.org/10.5050/KSNVE.2022.32.6.623]
-
Xiao, R., Xu, M., Shao, S. and Tian, Z., 2019, Design and Wide-bandwidth Control of Large Aperture Fast Steering Mirror with Integrated-sensing Unit, Mechanical Systems and Signal Processing, Vol. 126, pp. 211~226.
[https://doi.org/10.1016/j.ymssp.2019.02.028]
-
Kim, W., Lim, S., Jung, J., Jung, S., Kim, J. et al., 2024, Structural Design of Fast Steering Mirror with Reluctance Actuator, Transactions of the Korean Society for Noise and Vibration Engineering, Vol. 34, No. 3, pp. 330~338.
[https://doi.org/10.5050/KSNVE.2024.34.3.330]
-
Zhu, W., Bian, L., An, Y., Chen, G. and Rui, X., 2015, Modeling and Control of a Two-axis Fast Steering Mirror with Piezoelectric Stack Actuators for Laser Beam Tracking, Smart Materials and Structures, Vol. 24, No. 7, 075014.
[https://doi.org/10.1088/0964-1726/24/7/075014]
-
Wan, Y., Xiong, H., Song, T., Zhou, G., Huang, M. et al., 2022, Design of a Fast Steering Mirror Driven by Piezoelectric Ceramics, Optical Engineering, Vol. 61, No. 2, 024102.
[https://doi.org/10.1117/1.OE.61.2.024102]
-
Lu, Y., Fan, D. and Zhang, Z., 2013, Theoretical and Experimental Determination of Bandwidth for a Two-axis Fast Steering Mirror, Optik, Vol. 124, No. 16, pp. 2443~2449.
[https://doi.org/10.1016/j.ijleo.2012.08.023]
-
Zhang, Y. and Lu, T. F., 2019, On an Equivalent Model of Multi-layer Piezoelectric Actuators for Facilitating Finite Element Simulations, Microsystem Technologies, Vol. 25, No. 12, pp. 4455~4464.
[https://doi.org/10.1007/s00542-019-04464-6]
-
Huang, W., Lian, J., An, D., Chen, M. and Lei, Y., 2022, Bidirectional Drive with Inhibited Hysteresis for Piezoelectric Actuators, Sensors, Vol. 22, No. 4, 1546.
[https://doi.org/10.3390/s22041546]
-
Zhu, J., Ling, M., Li, L., Gao, H., Wu, S. et al., 2024, Linear and Nonlinear Analytical Equations for Fast Design of Three Types of Triangular-amplified Compliant Mechanisms, Precision Engineering, Vol. 86, pp. 342~350.
[https://doi.org/10.1016/j.precisioneng.2024.01.006]














