
유체가 부분적으로 채워진 그래핀 나노판 보강 다공 코어 샌드위치 원통셸의 진동해석
Ⓒ The Korean Society for Noise and Vibration Engineering
Abstract
The study investigates the vibration characteristics of partially fluid-filled sandwich cylindrical shells with a porous core. The refined shear deformation theory is adopted for theoretical analysis to account for the transverse shear deformation. The shells are reinforced with graphene nanoplatelets. The core comprises closed-cell foam, with pores being distributed in various patterns along the thickness direction. The fluid is described by the deformation potential for the coupled fluid-structure interaction. The governing eigenvalue equation is obtained using the Rayleigh-Ritz method. Comparison with previously reported methods highlights the reliability of the proposed approach. Parametric studies are conducted on dimensionless natural frequencies. The effects of the graphene nanoplatelets, pores, and especially fluids on the vibration characteristics are studied. Furthermore, the 3D vibration mode-shapes are presented for various fluid-filled levels.
Keywords:
Refined Shear Deformation Theory, Graphene Nanoplatelet, Porous Core, Fluid-structure Interaction키워드:
정제 전단변형 이론, 그래핀 나노판, 다공 코어, 유체-구조 연성1. 서 론
샌드위치 구조는 경량이면서 고강성이라는 기계적 특성 때문에 많은 분야에 널리 이용되고 있다. 최근 들어 항공우주 분야 등의 급속한 발전으로 인해 더 높은 강성과 더 가벼운 무게를 가진 새로운 샌드위치 구조를 요구하고 있다. 그러나 전통적인 코어를 갖는 샌드위치 재료는 이와 같은 요구 조건을 만족시킬 수 없어 고강성을 위해 기존 코어 등의 재료를 보강하여야 한다.
탄소 기반 나노 필러 중에서 그래핀과 그래핀 나노판(graphene nanoplatelet, GNP)은 매우 높은 인장 강도, 탄성계수, 비표면적을 가지고 있어 큰 보강 효과를 얻을 수 있다(1~4,8~11). 폼과 같은 다공 구조 코어에 GNP를 소량 첨가하여 보강함으로써 무게 증가없이 다공 구조의 강성을 증가시킬 수 있다. 따라서 판, 셸 등의 고기능 복합재료 경량 구조물 개발에 GNP는 많은 기회를 제공한다. 샌드위치 구조는 일반적으로 두께가 두껍다. 두꺼운 샌드위치 구조의 기계적 응답에서 전단변형효과가 두드러지기 때문에 정확한 결과를 얻기 위해서는 반듯이 해석에서 이를 고려해야 한다. 이를 위해 1차 전단변형이론(first-order shear deformation theory, FSDT)이나 3차 전단변형이론 (third-order shear deformation theory, TSDT) 등과 같은 고차 전단변형이론(high-order shear deformation theory, HSDT) 등이 적용되고 있다(2~4). FSDT의 경우에는 전단보정계수를 필요로 한다. 반면에 HSDT는 전단보정계수를 필요로 하지는 않지만 FSDT보다 복잡한 수식 전개 과정을 통해 해를 얻을 수 있다. 이와 같은 단점을 보완하기 위해 Shimpi는 HSDT의 일종인 정제 판이론(refined plate theory, RPT)을 개발하여 등방성 판 해석에 적용하였다(5). RPT는 전단 보정 계수가 필요하지 않으며, FSDT나 TSDT보다 적은 미지수를 갖는다. 또한 횡 방향 변위를 굽힘 부분과 전단 부분으로 나누어 표현한다는 특징이 있다. 이 이론은 이후 많은 연구자들에 의해 개선되어 경사기능재료, 두꺼운 다공 코어 구조를 갖는 판 및 셸 등을 대상으로 이론의 타당성을 입증하고 있으며, 다양한 이름으로 부르고 있다(6~11). 이 연구에서는 정제 전단변형이론(refined shear deformation theory, RSDT)이라 하였다. Thai 등은 경사기능재료(functionally graded, FG)판의 두께 방향 신장을 고려할 수 있도록 이론을 개선하여 굽힘 해석을 수행하였다(6). Trinh 등은 수직변위항에 축방향 신장을 추가하여 다공성 FG셸에 대한 굽힘 특성을(7), Tran 등은 탄성지지된 다공성 FG셸에 대해 굽힘(8), 좌굴 및 진동 특성을 구하였다. Zavari 등은 수직방향 변위를 수정하여 GNP 보강 외피를 갖는 금속 폼 코어 샌드위치 판에 대한 좌굴 해석을 하였다(9). Thang 등은 GNP 보강 외피를 갖는 하니콤 코어 샌드위치 원통셸에 대해 진동해석을(10), Eroğlu 등은 FG GNP 보강 다공 코어 샌드위치 패널에 대해 진동해석을 수행하였다(11).
이상에서와 같이 RSDT를 이용한 유체 저장 원통셸에 대한 해석은 전무한 상태이다. 따라서 이 연구에서는 RSDT를 적용하여 유체가 부분적으로 채워진 GNP보강 다공 코어 샌드위치 원통셸에 대해 이론적으로 진동해석을 수행하였다. 유체-구조 연성 효과를 고려하기 위해 유체에 대한 변형 모텐셜을 도입하여 유체와 셸이 접하는 부분에 대한 연속 조건을 부여하였다. Rayleigh-Ritz법을 적용하여 진동수 방정식을 유도하였다. 해의 타당성을 검증하기 위해 기존 문헌자료의 결과와 비교하였으며, 유체의 양, GNP 및 코어의 기공 등이 진동 특성에 미치는 영향을 검토하였다.
2. GNP 보강 및 다공성 재료의 유효 물성
이 연구에서는 Fig. 1과 같이 유체가 부분적으로 채워진 샌드위치 원통셸을 고려하였다. 샌드위치 셸은 두께가 hf인 내/외면의 외피와 두께가 hc인 다공성 코어로 구성되며 총 두께는 h이다. 원통셸의 길이는 L, 중립면까지의 반지름은 R이다.
코어뿐만 아니라 외피도 모든 방향으로 무작위로 균일하게 분포된 GNP로 보강된다. GNP 보강 복합재료의 유효 탄성계수(E1)는 Halpin-Tsai 모델에 따라 결정되며(1), 푸아송 비(v) 및 밀도(ρ)는 혼합 법칙에 따라 식 (1), 식 (2)와 같다.
| (1) |
| (2) |
여기서 Em, EG는 기저 및 GNP의 탄성계수, ξL = 2aG/tG, ξT = 2bG/tG로 aG, bG 및 tG는 GNP의 길이, 폭 및 두께이다. 다른 매개변수 및 GNP의 부피 비(VG)는 식 (3), 식 (4)와 같다.
| (3) |
| (4) |
여기서 wG는 GNP의 무게 비, ρG 및 ρm은 GNP 및 기저 재료의 밀도를 나타낸다.
다공 코어는 기공이 두께 방향으로 연속적으로 변하는 폐쇄형 셀 폼을 고려하였다. 기공 분포 형상은 기공이 중앙면을 기준으로 대칭으로 분포되는 것(PD-U, PD-X)과 비대칭으로 분포되는 것(PD-VO, PD-VI)을 고려하였다. 균일하게 분포되는 것 중에 PD-U는 전체에 걸처 균일하게 분포되며, PD-X는 중앙면을 기준으로 기공이 작아진다. 비대칭으로 분포 되는 PD-VO는 Fig. 2와 같이 기공이 상부 면으로 갈수록 작아지며, PD-VI는 반대 분포를 한다. 두께방향으로의 기공 분포는 식 (5)에 따라 결정된다.
| (5) |
기공 코어의 총 질량으로 모든 기공 분포에 대해 동일하므로 코어의 질량 Mt는 식 (6)과 같이 계산된다.
| (6) |
따라서 PD-U에 대한 분포 계수 a는 식 (7)과 같다.
| (7) |
다공 재료의 유효 탄성계수 및 유효 밀도는 식 (8),식 (9)와 같다(12).
| (8) |
| (9) |
여기서 e0은 다공성 계수로 식 (10)과 같이 다공 코어의 최대/최소 탄성계수(E1, E2)의 함수이다.
| (10) |
또한, em은 밀도 계수로 식 (11)과 같이 된다.
| (11) |
다공 재료의 유효 푸아송 비는 식(12)와 같다(13).
| (12) |
3. 유체저장 원통셸의 수식화
해석에서는 기존의 전단변형이론에 비해 변수의 수를 줄일 수 있는 RSDT를 적용하였다(10). RSDT에 따라 원통셸의 x, y 및 z 방향 변위 u, v 및 w는 식 (13)과 같이 쓸 수 있다.
| (13) |
여기서 u0, v0 및 wb, ws는 중립면에서의 한 점의 변위이다. wb, ws는 수직 변위의 굽힘 및 전단 요소를 나타낸다. 식에서 쉼표(,)는 뒤에 따르는 첨자에 대한 미분을 의미한다. 또한 f(z)는 셸의 두께 방향 횡전단 변형을 정의하는 함수로 식 (14)와 같다.
| (14) |
셸의 변형률과 변위의 관계는 식 (15)와 같다.
| (15) |
또한, 응력(σ)과 변형률(ε) 관계는 식 (16)과 같다.
| (16) |
여기서 Q는 축약 강성도이다.
단순지지 경계조건을 갖는 셸에 대한 변위식을 식 (17)과 같이 이중 급수 형태로 가정하였다.
| (17) |
여기서 am = mπ/L, m,n은 축 방향 및 원주 방향 파수, ω는 고유각진동수이다.
이 연구에서는 유체의 자유표면에서의 슬로싱 영향은 고려하지 않았다. 따라서 고려된 유체에 대한 변형 포텐셜 ϕ는 식 (18)과 같은 Laplace 식을 만족하여야 한다.
| (18) |
변형 포텐셜에 적용할 경계조건은 식 (19)와 같다.
| (19) |
첫 번째 식은 셸의 바닥면이 강체로 축 방향 유속이 0인 조건, 두 번째 식은 자유 표면의 동압이 0이 조건이며, 마지막 식은 셸과 유체가 접하는 면에서 유속이 같다는 조건이다. 식 (19)의 조건을 만족하는 변형 포텐셜은 식 (20)과 같다.
| (20) |
여기서 Akmn 및 pk는 식 (21)과 같다.
| (21) |
| (22) |
샌드위치 원통셸의 변형 및 운동에너지를 식 (23)과 같이 쓸 수 있다. 식 (24)에서 t는 시간을 나타낸다.
| (23) |
| (24) |
또한 셸과 유체가 접하는 경우 셸과 유체의 연성에 의한 유체의 운동에너지는 식 (25)와 같이 정의된다.
| (25) |
여기서 ρF는 유체의 밀도로 1000 kg/m3을 고려하였다.
따라서 유체가 채워진 원통셸에 저장된 총 에너지는 식(26)과 같다.
| (26) |
가정된 변위식 (17)을 총 에너지식 (26)에 대입한 다음, 그 결과를 Rayleigh-Ritz 과정에 적용하면 고유 진동수 및 진동형상을 구할 수 있는 고유치 문제 식 (27)을 얻을 수 있다.
| (27) |
여기서 M, K는 원통셸의 질량 및 강성 행렬이며, MF는 유체에 의한 부가 질량 행렬이다. 또한 이다.
4. 결과 및 토의
이 연구에서는 셸의 고유진동수를 식 (28)과 같이 무차원화하여 수치결과를 제시하였다.
| (28) |
고려된 GNP의 물성은 EG = 1.01 TPa, vG = 0.186, ρG = 1062.5 kg/m3이다. 또한 GNP의 크기는 aG = 2.5 μm, bG = 1.5 μm,, tG = 1.5 nm이다.
제안된 해석 방법의 타당성을 검증하기 위해 유체가 채워지지 않고 외피가 없는 GNP 보강 다공 원통셸(L/R = 5, R/h = 50, hc = h, wG = 1.0 wt%)에 대해 무차원 진동수를 Table 1에 제시하였다(2). 기저 재료는 구리로 Em = 130 GPa, vm = 0.34, ρm = 8960 kg/m3의 물성을 갖는다. Table 1에 제시된 것처럼 모든 기공 분포에 대해 FSDT를 적용한 Dong 등의 결과와 매우 잘 일치한다(2). 이 이후로 제시된 모든 수치 결과는 기저 재료로 Em = 68 GPa, vm = 0.34, ρm = 2690 kg/m3의 물성을 갖는 알루미늄 합금을 고려하였다.

Dimensionless natural frequencies of mode (m, n) = (1, 1) for GNP reinforced porous cylindrical shells
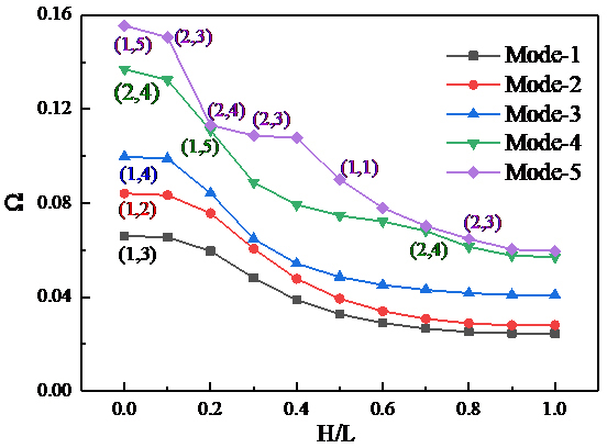
유체가 채워진 원통셸(L/R = 5, R/h = 50, hf = 0.05 h, wG = 1.0 wt%, e0 = 0.4)에 대해 원주 방향 파수 n에 따른 결과를 Fig. 3에 제시하였다. 여기서 PD-U 의 기공 분포가 고려되었으며, 축 방향 파수 m = 1이다. 모든 셸에 대해 진동수가 n에 따라 감소를 하다가 증가를 한다. 여기서 진동수의 최저값은 기본 진동수에 해당하는 것으로 (m, n) = (1, 3)에서 나타난다. 저장 유체의 양이 증가함에 따라 유체의 부가 질량 효과때문에 모든 모드에서 진동수가 감소하고 있으며, 이와 같은 감소 현상은 진동수가 클수록 크게 나타난다.
유체의 영향을 보다 자세히 알아보기 위해 Fig. 3에서 사용된 셸에 대해 5차 모드까지의 진동수 변화를 Fig. 4에 제시하였다. 채워진 유체의 양이 증가함에 따라 진동수는 감소를 한다. 1차에서 3차까지는 모드 변화없이 (1, 3), (1, 2) 및 (1, 4)를 유지하지만 4차의 경우는 (2, 4) → (1, 5) → (2, 4)로 변하고 5차 모드는 매우 다양한 진동 모드로 변화를 한다. 채워진 유체의 양에 따른 진동 형상을 Fig. 5에 제시하였다. 유체의 양에 따라 같은 진동 모드라 할지라도 진동 모드 (1, 4)처럼 진동 형상이 다른 것을 볼 수 있다. 이와 같은 현상은 (1, 2), (1, 5) 및 (2, 4) 등 대부분의 진동모드에서 나타난다.
Fig. 6은 기공 분포에 따른 기본 진동수 변화를 나타낸 것으로 기본 진동수의 크기는 PD-X, PD-VO, PD-VI, PD-U의 순으로 나타난다. PD-X의 경우 셸의 중립면에 가장 큰 기공이 분포되고 외피 쪽으로 갈수록 기공이 작아져 굽힘강성이 다른 분포 형태보다 크기 때문에 가장 큰 기본 진동수를 갖는다. 비대칭 분포를 갖는 경우 진동수 차이가 그리 크지는 않지만 PD-VO가 PD-VI보다 큰 진동수를 갖는다. 그 이유는 신장 및 굽힘강성계수는 서로 동일하지만 연성 강성계수는 PD-VO가 PD-VI보다 크기 때문이다. 모든 기공 분포에 대해 기본 진동수는 유체 수위 비(H/L) 0.2에서 급격히 감소하다가 0.6 이상이 되면 감소가 크게 둔화되어 변화가 거의 나타나지 않는다. 유체 양에 따른 진동수 거동은 기공 분포 형태와 관계없이 거의 같은 경향을 보인다.
PD-X(e0 = 0.4)의 기공 분포를 갖는 원통셸에 대해 GNP의 무게 비(wG)가 기본 진동수에 미치는 영향을 알아보기 위해 Fig. 7이 제시되었다. 제시된 진동수 비는 wG ≠ 0인 셸의 진동수를 wG = 0인 셸의 진동수로 나눈 값이다. 제시된 진동수 비로부터 기본 진동수는 GNP 양이 많아질수록 증가한다는 것을 알 수 있다. 유체가 채워지지 않은 셸에서 가장 큰 GNP 보강 효과를 얻을 수 있으며, 유체의 양이 많아질수록 그 효과는 작아진다. 이와 같은 현상은 GNP의 무게 비 증가에 따른 강성 증가보다 유체의 부가질량효과가 크게 작용하기 때문에 나타난다.
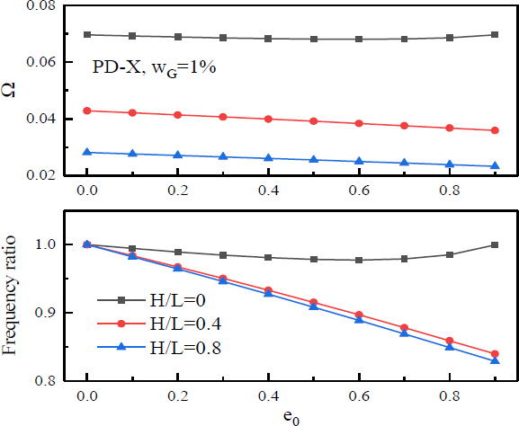
Fig. 8에서는 PD-X(wG = 1%)의 기공 분포를 갖는 원통셸에 대해 다공성 계수가 기본 진동수에 미치는 영향을 보여 준다. 진동수 비는 다공 코어 셸의 기본 진동수를 기공이 없는 셸의 기본 진동수로 나눈 값이다. 기본 진동수는 다공성 계수가 커짐에 따라 감소를 한다. 저장 유체의 양이 많아질수록 진동수 감소가 크게 나타나고 있다. 그러나 유체가 저장되지 않은 셸의 경우 감소량이 상대적으로 적게 나타나고 있으며 반대로 약간의 증가 현상이 나타나는 것도 볼 수 있다. 유체가 저장되지 않은 셸의 경우 큰 다공성 계수에서 진동수가 다시 증가를 한다. 그 이유는 기공에 의한 질량 감소 효과가 굽힘강성 감소 효과보다 크게 작용하기 때문으로 이전 연구인 다공 코어 샌드위치판에 대한 거동에서 보다 자세히 확인할 수 있다(4). 그러나 유체 저장 셸의 경우에는 유체의 부가질량효과가 크게 작용하여 진동수는 항상 감소한다.
Fig. 9에서는 GNP의 형상 비(aG/bG) 및 두께 비(aG/tG)가 기본 진동수에 미치는 영향을 알아보았다. 고려된 GNP의 두께는 일정하다. GNP가 정사각형일 경우 직사각형보다 접촉면적이 커지기 때문에 GNP의 형상 비가 1에 가까워질 수록 큰 기본 진동수를 갖는다. 또한 두께 비가 커질수록 GNP의 길이가 길어져 접촉면적이 커지기 때문에 기본 진동수는 증가하며 어느 값 이상이 되면 형상 비에 관계없이 거의 일정하게 되어 두께 비 1000 이상에서 형상 비에 관계없이 가장 큰 기본 진동수를 얻을 수 있다.
5. 결 론
정재 전단변형이론을 적용하여 유체가 부분적으로 채워진 다공 코어 샌드위치 원통셸에 대해 진동 특성을 연구하였다. 외피 및 코어는 모두 그래핀 나노판으로 보강되며, 다공 코어는 두께방향으로 기공이 연속적으로 분포를 한다. 제안된 이론 해석을 통해 다음과 같은 결론을 얻었다.
- (1) 저장 유체는 셸의 고유진동수 및 진동형상에 매우 큰 영향을 미친다. 특히 저장 높이에 따라 고유진동수가 급격히 감소하며 어느 높이 이상이 되면 일정한 값을 갖는다.
- (2) 같은 양의 재료에 대해 기공을 셸의 중립면으로 많이 분포시킴으로써 강성 증가 효과를 얻을 수 있어 진동수를 증가시킬 수 있다.
- (3) 그래핀 나노판의 양이 많아 질수록 보강 효과가 커져 진동수는 증가하지만 저장 유체의 양이 많아 질수록 그 효과는 줄어 든다.
- (4) 다공성 계수가 커질수록 기본 진동수는 전반적으로 감소하며 유체가 많아 질수록 그 영향은 증가하여 더 크게 감소한다. 그러나 유체가 없는 경우 PD-X 분포의 경우에는 어느 계수 이상이 되면 다시 증가한다.
- (5) 기저재료와 GNP와의 접촉면적을 크게 함으로써 큰 고유 진동수를 얻을 수 있다.
References
-
Rafiee, M. A., Rafiee, J., Wang, Z., Song, H., Yu, Z. Z. et al., 2009, Enhanced Mechanical Properties of Nanocomposites at Low Graphene Content, ACS Nano, Vol. 3, No. 12, pp. 3884~3890.
[https://doi.org/10.1021/nn9010472]
-
Dong, Y. H., Li, Y. H., Chen, D. and Yang, J., 2018, Vibration Characteristics of Functionally Graded Graphene Reinforced Porous Nanocomposite Cylindrical Shells with Spinning Motion, Composites Part B: Engineering, Vol. 145, pp. 1~13.
[https://doi.org/10.1016/j.compositesb.2018.03.009]
-
Khayat, M., Baghlani, A. and Najafgholipour, M. A., 2021, The Probabilistic Dynamic Stability Analysis of Fluid-filled Porous Cylindrical Shells Reinforced with Graphene Platelets, Thin-walled Structures, Vol. 167, 108256.
[https://doi.org/10.1016/j.tws.2021.108256]
-
Kim, Y.-W., 2022, Vibration Characteristics of Sandwich Plates with Graphene Nanoplatelet Reinforced Porous Core, Transactions of the Korean Society for Noise and Vibration Engineering, Vol. 32, No. 6, pp. 580~587.
[https://doi.org/10.5050/KSNVE.2022.32.6.580]
-
Shimpi, R. P., 2002, Refined Plate Theory and its Variants, AIAA Journal, Vol. 40, No. 1, pp. 137~146.
[https://doi.org/10.2514/2.1622]
-
Thai, H.-T. and Choi, D.-H., 2014, Improved Refined Plate Theory Accounting for Effect of Thickness Stretching in Functionally Graded Plates, Composites: Part B: Engineering, Vol. 56, pp. 705~716.
[https://doi.org/10.1016/j.compositesb.2013.09.008]
-
Trinh, M.-C. and Kim, S.-E., 2019, A Three Variable Refined Shear Deformation Theory for Porous Functionally Graded Doubly Curved Shell Analysis, Aerospace Science and Technology, Vol. 94, 105356.
[https://doi.org/10.1016/j.ast.2019.105356]
-
Tran, T. T., Tran, V. K., Pham, Q.-H. and Zenkour, A. M., 2021, Extended Four-unknown Higher Order Shear Deformation Nonlocal Theory for Bending, Buckling and Free Vibration of Functionally Graded Porous Nanoshell Resting on Elastic Foundation, Composite Structures, Vol. 264, 113737.
[https://doi.org/10.1016/j.compstruct.2021.113737]
-
Zavari, S., Kaveh, A., Babaei H., Arshid, E., Dimitri, R. et al., 2024, A Quasi-3D Hyperbolic Formulation for the Buckling Study of Metal Foam Microplates Layered with Graphene Nanoplatelets-embedded Nanocomposite Patches with Temperature Fluctuations, Composite Structures, Vol. 331, 117876.
[https://doi.org/10.1016/j.compstruct.2024.117876]
-
Thang, P. T., Kim, C., Jang, H., Kim, T. and Kim, J., 2025, Free Vibration Characteristics of Honeycomb Sandwich Cylindrical Shells Reinforced with Graphene Nanoplatelets/Polymer Coatings, Aerospace Science Technology, Vol. 156, 109744.
[https://doi.org/10.1016/j.ast.2024.109744]
-
Eroğlu, M., Koç, M. A. and Esen, I., 2025, Thermomechanical Free Vibration Buckling of FG Graphene-reinforced Doubly-curved Sandwich Shells, Advances in Engineering Software, Vol. 202, 103875.
[https://doi.org/10.1016/j.advengsoft.2025.103875]
-
Roberts, A. P. and Garboczi, E. J., 2001, Elastic Moduli of Model Random Three-dimensional Closed-cell Cellular Solids, Acta Materialia, Vol. 49, No. 2, pp. 189~197.
[https://doi.org/10.1016/S1359-6454(00)00314-1]
-
Roberts, A. P. and Garboczi, E. J., 2002, Computation of the Linear Elastic Properties of Random Porous Materials with a Wide Variety of Microstructure, Proceedings of the Royal Society of London A: Mathematical, Physical and Engineering Sciences, Vol. 458, No. 2021, pp. 1033~1054.
[https://doi.org/10.1098/rspa.2001.0900]








