
플라스틱 소재의 레이더 센서 보호 커버의 초음파 제빙을 위한 구동 조건 연구
Ⓒ The Korean Society for Noise and Vibration Engineering
Abstract
This study investigated the enhancement of ultrasonic de-icing performance on plastic radar sensor covers by varying the operating conditions. Ultrasonic de-icing systems can achieve optimal performance when they are driven at the resonant frequency. However, the resonant frequency can change owing to various factors. Furthermore, as the ice layer changes during de-icing, the resonant frequency may shift accordingly. In this study, the change in resonant frequency depending on the presence or absence of an ice layer on the radar sensor cover was experimentally verified. Subsequently, ultrasonic de-icing experiments on the radar sensor cover were conducted repeatedly under varying operating conditions. Each experiment revealed different average driving power and times required to remove an ice layer. A higher average driving power resulted in shorter de-icing times. By changing the operating conditions, the de-icing time for a certain target decreased from 160 s to 65 s. These findings demonstrate that optimizing the operating conditions can enhance the performance of ultrasonic de-icing systems for plastic sensor covers.
Keywords:
Ultrasonic De-icing, Ultrasonic Transducer, Resonance Frequency, Autonomous Driving키워드:
초음파 제빙, 초음파 트랜스듀서, 공진 주파수, 자율주행기술1. 서 론
1.1 레이더 센서 커버의 초음파 제빙 기술 연구 필요성
자율주행 차량에 탑재되는 레이더 센서는 전방 차량의 위치를 감지하여 차량이 자동으로 가속 또는 감속하는 스마트 크루즈 컨트롤(smart cruise control, SCC) 기능을 가능하게 한다. 이러한 레이더 센서는 전파 투과율이 높은 플라스틱 소재 커버로 보호된다(1). 그러나 강설 또는 저온 환경에서는 보호 커버의 결빙이 발생할 수 있으며, 이로 인해 전파 투과율이 저하되어 센서 인식 오류가 발생할 수 있다(2~4). 이러한 상황에서는 자율주행 기능의 수행이 어려워지므로, 다양한 기후 조건에서도 안정적인 자율주행이 가능하려면 레이더 센서 보호 커버에 효과적인 제빙 또는 방빙 기술이 적용되어야 한다.
레이더 센서 커버를 위한 제빙 및 방빙 기술은 방빙 코팅 방식(5,6), 전기발열 방식(2,7,8) 및 초음파 제빙 방식이 존재한다(9). 방빙 코팅은 수동형 방식으로, 표면 처리를 통해 얼음과 커버 간의 결합력을 감소시켜 결빙 형성을 방지한다. 그러나 방빙 효과가 장시간 유지되기 어려우며, 형성된 결빙을 완전히 제거하기 위해서는 능동형 제빙 방식과 병행되어야 한다(5,6). 전기발열 방식은 능동형 방식으로, 커버에 부착되거나 내장된 발열 전극을 통해 열을 발생시켜 결빙을 제거한다. 그러나 전력 소모로 인해 장시간 연속해서 사용하기 어려우며, 커버의 발열 전극이 레이더 전파 투과를 방해할 수 있다는 한계가 있다(2,10).
초음파 제빙은 부착된 초음파 트랜스듀서를 발진시켜 표면의 얼음층을 분리하는 방식이다(11). 얼음층이 형성된 구조물에는 구조물과 얼음층 사이의 접합 강도(adhesion strength)가 존재하며, 이 접합 강도를 초과하는 응력을 가할 경우 얼음층을 분리할 수 있다(12,13). 일반적으로 얼음의 접합 강도는 인장 방향보다 전단 방향에서 크게 낮기 때문에, 전단력을 가할 경우 효과적으로 얼음을 제거할 수 있다(12,13). 대상에 부착된 초음파 트랜스듀서는 얼음층과 커버 사이 접합면에 초음파 대역의 Lamb파(Lamb wave)와 수평 전단파(shear horizontal wave, SH wave)를 전파시킴으로써 접합면에 전단 응력을 발생시키고, 얼음층을 대상으로부터 분리시킬 수 있다(11,14).
초음파 제빙은 능동형 방식으로서 결빙을 직접 제거할 수 있으며, 항공기 날개를 대상으로 적용한 결과 전기발열 방식에 비해 낮은 소비 전력으로 제빙이 가능함이 확인되었다(10). 또한 강철 판재를 대상으로 한 연구에서, 트랜스듀서를 구동하는 즉시 결빙이 분리된 연구 사례가 보고된 바 있다(15). 초음파 제빙은 적은 소비 전력과 우수한 제빙 성능을 바탕으로 무인항공기 및 풍력발전기 등을 대상으로 활발히 연구되고 있다(16~18).
플라스틱 소재의 레이더 센서 커버에 초음파 제빙 기술을 적용한 연구는 2024년에 처음 보고되었다(9). 해당 연구에서는 폴리카보네이트-ABS 이중 층으로 구성된 플라스틱 소재의 레이더 센서 커버에 두 개의 랑제빈 트랜스듀서(Langevin transducer)를 결합하여 초음파 제빙 커버를 제작하였다. 트랜스듀서에 160초간 전력을 인가하여 구동한 결과, 얼음층이 분리되었으며 차량용 레이더 센서 커버에 초음파 제빙 기술을 적용할 수 있음을 확인하였다. 그리고 초음파 제빙 기술을 더욱 향상시킴으로써 소비 전력이 낮고 제빙 효과가 우수한 레이더 센서 커버 대상의 제빙 기술이 될 수 있음을 보였다.
1.2 초음파 제빙 구동 조건 연구의 필요성
그러나 기존 연구에서 구동 중 시간에 따른 트랜스듀서의 구동 전력을 관찰한 결과, 전력이 일정하게 유지되지 않고 약 120초 이후부터 구동 전력이 급격히 감소하였다(9). 초음파 발진에 사용되는 압전 트랜스듀서의 공진 주파수는 기계적 발진 세기가 최대가 됨과 동시에, 전기적 관점에서 어드미턴스가 최대가 되는 지점이다. 따라서 일정한 전압을 인가할 시 공진 주파수에서 가장 높은 전력이 인가되며 발진 세기가 최대가 된다(19). 따라서 해당 연구에서 관찰된 구동 전력 저하는 제빙 중 구동 주파수가 공진 주파수로부터 벗어난 것으로 판단된다. 이는 트랜스듀서의 발진 세기가 감소하여 제빙 효과가 저하되었음을 의미한다.
초음파 제빙에 사용되는 압전 트랜스듀서는 환경 온도, 기계적 부하, 그리고 결합된 대상체의 특성에 따라 공진 주파수가 변화하는 특성을 가진다(19,20). 따라서 트랜스듀서의 높은 발진 세기를 유지하기 위해서는 공진 주파수의 변화에 따라 구동 주파수가 조정될 필요가 있다. 이러한 필요로 인해 압전 트랜스듀서 중 치과용 초음파 스케일러, 의료용 트랜스듀서를 대상으로 구동 중 공진 주파수를 실시간으로 추적하는 회로 시스템 개발 연구가 수행되기도 하였다(19,21).
특히 초음파 제빙은 트랜스듀서에 결합된 대상체의 얼음층이 구동 중 변화하므로, 이로 인해 공진 주파수가 변화될 가능성이 있다. 기존 연구에서 제빙 대상인 센서 커버의 공진 주파수는 얼음이 없는 상온 상태에서 33 kHz임을 확인하였다. 그러나 얼음층의 존재 여부에 따른 공진 주파수의 변화에 대해서는 규명하지 않았으며, 주파수 구동 조건에 따른 제빙 효과의 변화에 대해서는 검증하지 않았다(9).
따라서 센서 커버의 얼음층 상태에 따른 공진 주파수 변화를 규명하고, 제빙 중 공진 주파수 변화에 따라 구동 주파수를 변화시키는 최적 조건에서 구동함으로써 초음파 제빙 효과를 향상시킬 수 있을 것으로 기대할 수 있다. 이에 이 연구에서는 얼음층 상태에 따른 센서 커버의 공진 주파수 변화와, 제빙 시 구동 주파수 변화에 따른 제빙 효과 향상을 실험적으로 확인하였다. 이를 통해 플라스틱 센서 커버의 초음파 제빙에서 최적 조건 구동의 필요성을 검증하였다.
2. 본 론
2.1 대상체의 공진 주파수 변화 분석
이 연구의 제빙 기술 적용 대상은 기존 레이더 센서 커버 대상 초음파 제빙 연구와 동일한 것을 사용하였다(9). 대상체는 Fig. 1에 제시된 것과 같으며, 폴리카보네이트–ABS 이중 층 레이더 센서 커버에 두 개의 랑제빈 트랜스듀서가 결합되어 있다. 레이더 센서 커버는 (유)대구특수금속 사의 차량용 레이더 센서 보호용 커버이며, 제원은 Table 1에 제시되어 있다. 트랜스듀서는 3035-4Z(Hangzhou Altrasonic Technology Co., Ltd)가 사용되었으며, 그 제원은 Table 2에 제시되어 있다. 트랜스듀서의 어드미턴스 주파수 응답을 측정하여 Fig. 2에 제시하였으며, 공진 주파수는 33.7 kHz로 확인되었다. 센서 커버에 트랜스듀서의 결합 위치는 Fig. 3에 제시된 바와 같다. 센서 커버의 중심으로부터 좌, 우 각 80.25 mm, 상단으로부터 46 mm 지점으로, 센서 커버에서 레이더가 투과되는 영역을 피해 결합하였다.
센서 커버와 트랜스듀서가 결합된 대상체의 결빙 상태에 따른 공진 주파수 변화를 확인하기 위해, 얼음층이 형성된 상태와 형성되지 않은 상태에서 각각 전기적 어드미턴스 주파수 응답을 측정하였다. 어드미턴스는 주파수 응답 분석기(NF FRA5097)를 사용하여 측정하였으며, 대상체의 얼음층은 다음과 같은 방법으로 형성되었다. 대상체를 약 -20 ℃ 온도의 냉동고에 약 30분간 보관하여 냉각한 후, 냉동고 내부에서 커버 표면에 5분 간격으로 총 3회 물을 분사하였다. 이후 1시간 동안 냉동고에 보관하여 총 1시간 45분의 과정을 통해 얼음층을 형성하였다.
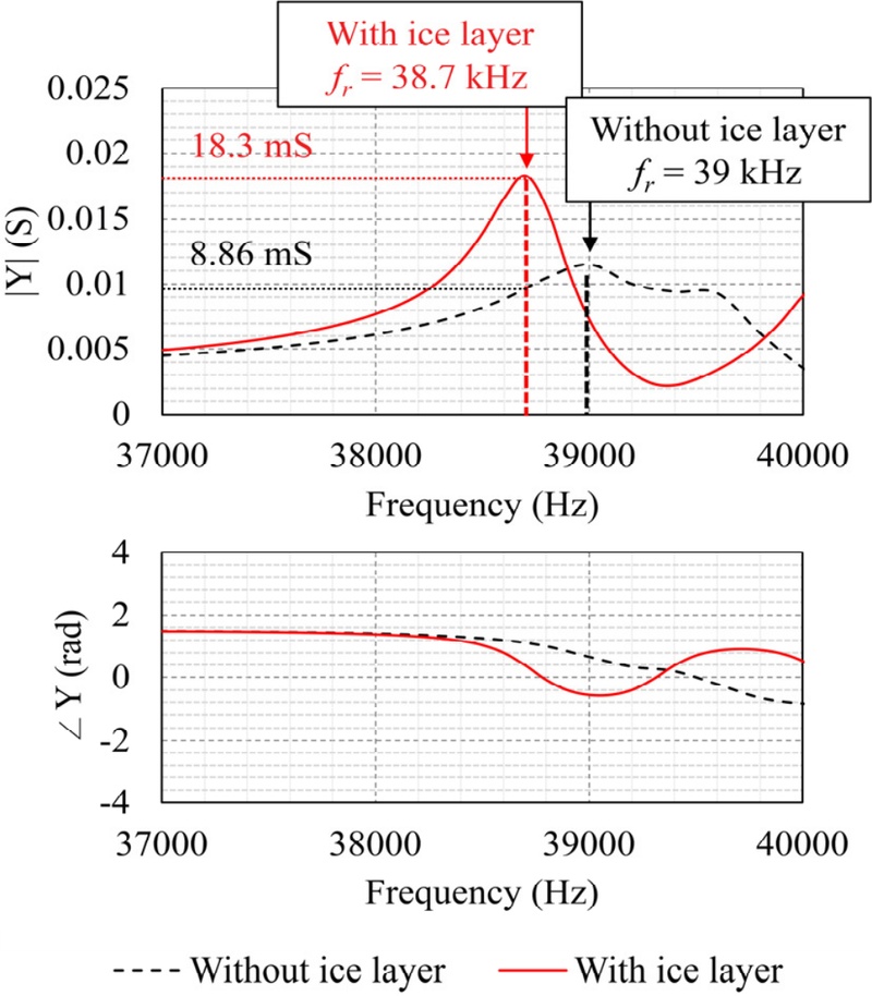
얼음층 유무에 따른 어드미턴스 주파수 응답 측정 결과는 Fig. 4에 나타내었다. 공진 주파수는 어드미턴스가 최대가 되는 지점에 해당하며, 결빙 상태에서의 공진 주파수는 38.7 kHz, 결빙이 없을 시에는 39 kHz로 관찰되었다. 이러한 공진 주파수의 변화는 얼음층의 형성으로 인해 대상체의 기계적 동특성이 변화하였음을 나타낸다.
결빙 상태의 공진 주파수 38.7 kHz에서, 어드미턴스 크기는 18.3 mS로 측정되었다. 그리고 동일한 주파수에서 결빙이 없을 시 어드미턴스는 8.86 mS로, 결빙 상태의 약 48.4 % 수준이다. 트랜스듀서의 구동 전력은 어드미턴스에 비례하므로, 전압 변화 없이 결빙 시의 공진 주파수로만 구동한다면 얼음층이 제거되었을 때에는 구동 전력이 48.4 %로 감소됨을 의미한다. 따라서, 높은 제빙 효과를 위해서는 공진 주파수 변화에 따라 구동 주파수가 조정되어야 함을 알 수 있다.
2.2 구동 조건 변화 초음파 제빙
구동 조건 변화에 따른 제빙 성능의 향상 가능성을 확인하기 위해, 서로 다른 구동 조건에서 초음파 제빙 실험을 반복 수행하였다. 각 실험의 얼음층은 동일한 방법으로 형성되었으며, 기존 연구 및 2.1에서와 동일한 방법으로 형성되었다(9). 얼음층이 형성된 결합품은 Fig. 5에 묘사된 바와 같이, 함수발생기(AG2062F, OWON)와 전력증폭기(HSA4052, NF Corporation)와 연결하여 구성되었다. 인가된 전압은 137 VRMS으로 일정하게 유지되었으며, 구동 중 전력증폭기의 전류계 모니터를 관찰하여 발생 전류가 가능한 한 높게 유지되도록 함수발생기의 발생 주파수를 지속적으로 조정하였다. 결합품에 대해 총 4회의 실험이 수행되었으며, 모든 실험은 제빙이 진행되는 동안 실시간으로 구동 주파수, 구동 전력, 그리고 커버 표면으로부터 얼음층이 분리되는 시점을 관찰하였다. 각 실험은 기존 연구와 동일한 약 17 ℃의 상온 환경에서 수행하여 환경에 의한 영향을 통일하였다(9).
각 실험은 수행 순서에 따라 실험 #1 ~ #4로 구분하였다. 각 실험의 시간에 따른 구동 주파수 및 전력 변화는 Fig. 6에 나타내었다. 실험 #1은 기존 연구의 초음파 제빙 실험 결과이다(9). 그리고 실험 #2 ~ #4는 구동 조건을 제외하고 실험 #1과 동일한 조건에서 수행되었다.
실험 #1은 결빙 상태에서 측정된 어드미턴스 주파수 응답의 공진 주파수(38.7 kHz)보다 낮은 34 kHz에서 구동을 시작하여, 주파수를 증가시키며 최적 구동 주파수를 탐색하였다. 37.5 kHz로 상승시킬 때까지 전력이 증가하였으며, 약 40초에 37.5 kHz에 도달하자 전력이 더 이상 증가하지 않았다. 이후 전력 감소가 관찰될 때마다 구동 주파수를 소폭 상승시키자 구동 전력이 유지됨을 확인하였다. 그러나 130초에서 전력이 급격히 감소하였고, 구동 주파수를 증가시켜도 전력은 그대로 감소하였다. 이후 약 160초 시점에서 얼음층의 분리를 확인하였다.
실험 #2는 실험 #1과 동일하게 34 kHz에서 구동을 시작하고 주파수를 점진적으로 증가시켰다. 주파수를 37.5 kHz로 상승시킨 후 유지한 상태에서 전력이 증가하는 것이 관찰되었다. 이후 약 50초에서 전력이 다시 상승하였다. 이때 주파수를 조금씩 조정하자 전력이 다시 증가하였고, 75초 지점에서 얼음층의 분리가 확인되었다.
실험 #3은 35 kHz에서 구동을 시작하여, 실험 #1 ~ #2와 마찬가지로 전력 상승을 관찰하면서 37.5 kHz로 조정하였다. 이후 구동 주파수를 유지하였으며, 약 50초 이후 전력이 상승하였고 약 70초에서 얼음층의 분리가 확인되었다.
실험 #4는 실험 #1 ~ #3과 달리 공진 주파수보다 높은 40 kHz에서 구동을 시작하고, 주파수를 점진적으로 하강시키며 최적 구동 주파수를 탐색하였다. 주파수를 37.6 kHz로 낮추는 동안 전력 상승이 관찰되었다. 전력은 253 W로 상승한 후 다시 감소하였으며, 40초에서 주파수를 37.8 kHz로 상승시키자 전력이 다시 급격히 증가하였다. 약 65초에서 얼음층의 분리가 확인되었다.
실험 #1 ~ #3은 구동 시작 시 주파수를 상승시키며 최적 주파수를 탐색한 결과, 약 37.5 kHz에서 최대 전력이 인가되었다. 이는 대상체의 결빙 상태 공진 주파수(38.7 kHz)보다 다소 낮은 주파수였다. 실험 #4는 주파수를 하강시키며 최적 주파수를 탐색하였으나, 실험 #1 ~ #3과 유사하게 37.6 kHz에서 최대 전력이 인가되었다. 각 실험의 구동 주파수는 약 37.5 kHz로 조정된 이후 큰 변화 없이 유지되었다. 그러나 이후 전력 변화 양상은 실험마다 상이하였다. 특히 실험 #1 ~ #2에서는 구동 중 급격한 전력 저하가, 실험 #3 ~ #4는 전력 상승이 관찰되었다. 제빙 시간은 실험 #1이 160초로 가장 길었으며, 실험 #4가 65초로 가장 짧아 약 95초의 차이를 보였다. 가장 빠른 제빙이 이루어진 실험 #4의 구동 중 얼음층 변화 양상은 Fig. 7에 제시되어 있다.
실험의 구동 중 전력 변화, 제빙 시간에 차이가 발생한 이유는 각 실험에서 얼음층 상태가 실제로는 동일하지 않으며, 시간에 따른 얼음층의 상태와 공진 주파수 변화가 서로 다르게 나타났기 때문으로 판단된다. 또한 시간별 특성 변화를 사전에 예측할 수 없는 조건에서 수동으로 구동 주파수를 조정하였기 때문에, 각 실험이 최적 조건에 근접하여 구동된 정도에도 차이가 있었을 것으로 추정된다.
그러나 각 실험은 구동 시작 시에 최적 조건에서 벗어나 있었으나, 전력이 증가하는 방향으로 구동 주파수를 조정함으로써 구동 중 최적 조건에 근접하는 것이 가능하였다. 이를 통해 최적 조건을 예상하지 못한 상황에서도 실시간 전력 관찰을 통해 구동 중 최적 조건으로 조정하는 것이 가능함을 확인하였다.
각 실험이 최적 조건에 얼마나 가깝게 구동되었는지와 그에 따른 제빙 효과를 비교하기 위해, 실험별 평균 구동 전력과 이에 따른 제빙 시간을 Fig. 8의 그래프로 나타내었다. 실험 #1은 166 W의 가장 적은 평균 전력이 인가되었으며, 제빙 시간은 160초로 가장 길었다. 그리고 실험 #2와 #3의 평균 전력은 서로 유사하였고, 실험 #1보다 다소 높은 수준이었다. 또한 두 실험의 제빙 시간은 유사하였으며, 실험 #1보다 짧았다. 그리고 실험 #4는 평균 전력이 234 W로 가장 높았으며, 제빙 시간은 65초로 가장 짧았다.
이를 통해 평균 구동 전력이 높을수록 제빙 시간이 감소하는 경향을 확인할 수 있다. 이러한 이유는 구동 주파수가 대상의 변화하는 공진 주파수에 더 가까이, 오래 근접할수록 평균 인가 전력이 높게 유지되고, 트랜스듀서의 발진 세기 역시 강하게 유지되어 제빙 효과가 향상된 것으로 판단된다. 그 결과 기존 연구에서 160초가 소요되었던 제빙 시간이 65초로 단축될 수 있음을 확인하였다. 결론적으로, 초음파 제빙 과정에서 인가 전력이 커질 수 있도록 구동 주파수를 조정하는 것이 최적 구동 조건이 됨을 알 수 있다.
3. 결 론
이 논문에서는 플라스틱 레이더 센서 커버의 초음파 제빙에 대한 최적 구동 조건에 대한 연구를 수행하였다. 센서 커버의 얼음층의 상태에 따라 공진 주파수가 변화하는 것을 어드미턴스 측정을 통해 확인하였다. 따라서 제빙 효과를 향상시키려면 공진 주파수 변화에 대응해 구동 주파수를 조정하는 최적 조건에서의 구동이 필요함을 확인하였다.
또한, 최적 구동 조건에서 제빙 성능 변화를 검증하기 위해 4회의 초음파 제빙 실험을 반복 수행하였다. 실험 결과, 평균 구동 전력이 높을수록 제빙 시간이 단축되는 상관관계를 확인하였다. 이는 압전 트랜스듀서는 공진 주파수에서 전기적 어드미턴스가 최대가 되므로, 공진 주파수에 근접하여 구동될수록 전력이 상승했기 때문임을 알 수 있다.
특히 구동 초기에 최적 조건에서 벗어나더라도 구동 전력이 상승하도록 주파수를 조정함으로써 최적 조건에 도달할 수 있음을 확인하였다. 이는 구동 환경이나 얼음층의 상태를 예측하기 어려운 상황에서도 실시간 전력 모니터링을 통해 최적 조건 구동이 가능함을 의미한다. 이러한 구동 조건 연구를 통해, 기존 연구에서 160초에 달했던 제빙 시간을 동일한 전압 조건, 환경 조건 아래 65초로 단축되었음을 확인하였다.
이 연구 결과를 바탕으로, 향후 연구에서는 구동 전력 모니터링을 통해 최적 조건을 자동으로 탐색하는 시스템의 구현 및 평가가 수행될 예정이다. 이를 통해 최적 조건 탐색의 신속성과 정확성을 향상시켜 제빙 효과를 한층 더 향상시킬 수 있을 것으로 기대된다. 또한 센서 커버의 기계적 동특성에 최적화된 트랜스듀서를 개발 및 적용함으로써 제빙 효율을 향상시킬 수 있을 것으로 기대된다. 향후 이러한 후속 연구를 통해 초음파 제빙 시스템을 고도화하고, 자율주행 기술의 안정성과 신뢰성을 더욱 향상시킬 수 있을 것으로 기대된다.
Acknowledgments
이 연구는 국토교통부/국토교통과학기술진흥원이 시행하는 ‘고위험 건설기계 안전성 평가 및 관리 기술개발 사업(과제번호 RS-2023-00244879)’의 지원으로 수행되었습니다. 그리고 (유)대구특수금속으로부터 차량용 레이더 센서 커버 제품을 제공받아 수행되었습니다.
References
- Consumer Reports, 2024, How to Keep Your Car’s Safety Sensors Clean During Winter, Consumer Reports, NY, United States.
-
Chen, J., Zhao, Z., Zhu, Y., Xu, Y., Yuan, L. et al., 2023, Wave-transparent Electrothermal Composite Film for Anti-icing/de-icing, Progress in Organic Coatings, Vol. 183, 107751.
[https://doi.org/10.1016/j.porgcoat.2023.107751]
-
Ehrnsperger, M. G., Siart, U., Moosbühler, M., Daporta, E. and Eibert, T. F., 2019, Signal Degradation Through Sediments on Safety-critical Radar Sensors, Advances in Radio Science, Vol. 17, pp. 91~100.
[https://doi.org/10.5194/ars-17-91-2019]
-
Kofman, W., Orosei, R. and Pettinelli, E., 2010, Radar Signal Propagation and Detection Through Ice, Space Science Reviews, Vol. 153, No. 1, pp. 249~271.
[https://doi.org/10.1007/s11214-010-9642-2]
-
Irajizad, P., Nazifi, S. and Ghasemi, H., 2019, Icephobic Surfaces: Definition and Figures of Merit, Advances in Colloid and Interface Science, Vol. 269, pp. 203~218.
[https://doi.org/10.1016/j.cis.2019.04.005]
-
Irajizad, P., Al-Bayati, A., Eslami, B., Shafquat, T., Nazari, M. et al., 2019, Stress-localized Durable Icephobic Surfaces, Materials Horizons, Vol. 6, No. 4, pp. 758~766.
[https://doi.org/10.1039/C8MH01291A]
-
Lu, P., Cheng, F., Ou, Y., Lin, M., Su, L. et al., 2017, A Flexible and Transparent Thin Film Heater Based on a Carbon Fiber/Heat-resistant Cellulose Composite, Composites Science and Technology, Vol. 153, pp. 1~6.
[https://doi.org/10.1016/j.compscitech.2017.09.033]
-
Janas, D. and Koziol, K. K., 2014, A Review of Production Methods of Carbon Nanotube and Graphene Thin Films for Electrothermal Applications, Nanoscale, Vol. 6, No. 6, pp. 3037~3045.
[https://doi.org/10.1039/c3nr05636h]
-
Noh, E., Moon, W. and Shin, K., 2024, A Study on the Application of an Ultrasonic De-icing System to Plastic Covers Protecting Radar Sensors, Transactions of the Korean Society for Noise and Vibration Engineering, Vol. 34, No. 6, pp. 659~667.
[https://doi.org/10.5050/KSNVE.2024.34.6.659]
-
Lee, J.-W., Cho, M.-Y., Kim, Y.-H., Yee, K. and Myong, R. S., 2020, Current Status and Prospect of Aircraft Ice Protection Systems, Journal of the Korean Society for Aeronautical and Space Sciences, Vol. 48, No. 11, pp. 911~925.
[https://doi.org/10.5139/JKSAS.2020.48.11.911]
-
Ramanathan, S., Varadan, V. V. and Varadan, V. K., 2000, Deicing of Helicopter Blades Using Piezoelectric Actuators, Proceedings of the SPIE, Vol. 3990, pp. 281~292.
[https://doi.org/10.1117/12.388906]
-
Jellinek, H. H. G., 1958, Adhesive Properties of Ice, Journal of Colloid Science, Vol. 14, No. 3, pp. 268~280.
[https://doi.org/10.1016/0095-8522(59)90051-0]
-
Scavuzzo, R. J., Chu, M. L. and Kellackey, C. J., 1991, Impact Ice Stresses in Rotating Airfoils, Journal of Aircraft, Vol. 28, No. 7, pp. 450~455.
[https://doi.org/10.2514/3.46048]
-
Wang, Z., 2017, Recent Progress on Ultrasonic De-icing Technique Used for Wind Power Generation, High-voltage Transmission Line and Aircraft, Energy and Buildings, Vol. 140, pp. 42~49.
[https://doi.org/10.1016/j.enbuild.2017.01.072]
-
Palacios, J., Smith, E., Rose, J. and Royer, R., 2011, Instantaneous De-icing of Freezer Ice via Ultrasonic Actuation, AIAA Journal, Vol. 49, No. 6, pp. 1158~1167.
[https://doi.org/10.2514/1.J050143]
-
Zeng, J. and Song, B., 2017, Research on Experiment and Numerical Simulation of Ultrasonic De-icing for Wind Turbine Blades, Renewable Energy, Vol. 113, pp. 706~712.
[https://doi.org/10.1016/j.renene.2017.06.045]
-
Daniliuk, V., Xu, Y., Liu, R., He, T. and Wang, X., 2020, Ultrasonic De-icing of Wind Turbine Blades: Performance Comparison of Perspective Transducers, Renewable Energy, Vol. 145, pp. 2005~2018.
[https://doi.org/10.1016/j.renene.2019.07.102]
-
Shi, Z., Zhao, Y., Ma, C. and Zhang, J., 2020, Parametric Study of Ultrasonic De-icing Method on a Plate with Coating, Coatings, Vol. 10, No. 7, 631.
[https://doi.org/10.3390/coatings10070631]
-
Maruyama, Y., Takasaki, M. and Mizuno, T., 2010, Resonance Frequency Tracing System for Langevin Type Ultrasonic Transducers in Mechatronic Systems Simulation Modeling and Control, IntechOpen, London, United Kingdom.
[https://doi.org/10.5772/9123]
-
Upadhye, V. and Agashe, S., 2016, Effect of Temperature and Pressure Variations on the Resonant Frequency of Piezoelectric Material, Measurement and Control, Vol. 49, No. 9, pp. 286~292.
[https://doi.org/10.1177/0020294016663974]
-
Moon, J., Park, S. and Lim, S., 2022, A Novel High-speed Resonant Frequency Tracking Method Using Transient Characteristics in a Piezoelectric Transducer, Sensors, Vol. 22, No. 17, 6378.
[https://doi.org/10.3390/s22176378]








