Transactions of the Korean Society for Noise and Vibration Engineering
[ Article ]
Transactions of the Korean Society for Noise and Vibration Engineering - Vol. 36, No. 1, pp.44-53
ISSN: 1598-2785 (Print) 2287-5476 (Online)
Print publication date 20 Feb 2026
Received 04 Dec 2025 Revised 25 Dec 2025 Accepted 26 Dec 2025
DOI: https://doi.org/10.5050/KSNVE.2026.36.1.044

예인형 선배열 센서의 점탄성(Viscoelastic) 소재 로프에 대한 종방향 진동 응답 특성 분석

서태원 ; 이정현* ; 오창택* ; 이승진*
Longitudinal Vibration Response Characteristics Analysis of a Viscoelastic Material Rope of a Towed Array Sensor
Tae Won Seo ; Jung Hyun Lee* ; Chang Taek Oh* ; Seung Jin Lee*
*Maritime Sensor Systems, LIGnex1, Research Engineer

Correspondence to: Member, LIGnex1, Researcher E-mail : taewon.seo@lignex1.comRecommended by Editor Jong Moon Ha

Ⓒ The Korean Society for Noise and Vibration Engineering

# A part of this paper was presented at the KSNVE 2025 Annual Spring Conference

Abstract

Towed array sensors are degraded by strumming vibrations and tow noise, thereby reducing the signal-to-noise ratio (SNR). To address this concern, Vibration Isolation Modules (VIM) using viscoelastic ropes are applied. In this study, we quantitatively evaluated their vibration isolation performance and validated FEM simulations through controlled vibration tests. We applied viscoelastic properties measured by DMA to an FEM model for longitudinal dynamic behavior prediction. We converted input and output accelerations into Vibration Acceleration Level (VAL), and calculated the VAL Difference for comparison. The results were in good agreement between FEM and experiments, confirming the validity of the simulation and providing useful data for VIM optimization.

Keywords:

Array Sensor, Strumming, Viscoelastic Rope, Vibration Isolation, Vibration Acceleration Level

키워드:

선배열 센서, 와유동, 점탄성 로프, 진동 차단, 진동 가속도 레벨

1. 서 론

예인형 선배열 센서(towed array sensor)는 수중 임무 환경에서 장거리 음향 신호를 수집하고 분석하는 데 필수적인 역할을 수행한다. 예인형 선배열 센서는 저주파수 대역의 미약한 신호 탐지를 위한 목적으로 운용되기 때문에 표적 탐지를 방해하는 자체소음(self-noise)을 최소화해야 한다(1). 일반적으로 예인형 선배열 센서를 운용하는 잠수함 또는 수상함의 경우, 기계류에 의한 자체소음과 견인케이블의 와유동(strumming) 진동에 의한 잡음 전달을 가지고 있다(2). 이중 기계류에 의한 자체 소음은 유추가 가능하지만, 견인케이블의 와유동 진동에 의한 잡음 전달의 경우 유추하기 어렵다. 이러한 진동은 음향모듈(acoustic module, AM)로 전달되어 신호대잡음비(signal to noise ratio, SNR)를 낮추기 때문에 Fig. 1과 같이 진동을 저감할 수 있는 진동차단모듈(vibration isolation module, VIM)을 적용하는게 일반적이다(3,4). 일반적으로 진동차단모듈은 음향모듈과 견인케이블 사이에 설치되어 모듈 내부 점탄성(viscoelastic) 소재 로프를 통해 견인 케이블로부터 전달되는 진동을 차단 할 수 있다. 진동차단모듈에 대한 기존 연구에서는 폴리부타디엔 고무(polybutadiene rubber), 네오프렌(neoprene), 열가소성 고무(thermoplastic rubber, TPR) 등의 점탄성 소재가 사용되었으나 최근에는 센서의 채널 수 증가와 무인 플랫폼에 적용되는 세장형 예인형 선배열센서 개발을 위해 고강도 점탄성 로프가 선호되고 있는 추세이다(5~8). 최근에는 Kevlar-29가 대표적인 고강도 점탄성 로프로서 우수한 내환경성 특성도 갖춘 장점이 있다(9,10).


					Fig. 1

Towed array sonar configuration

이 연구에서는 점탄성 소재 로프의 진동 차단 성능을 정량적으로 규명하고, FEM(finite element method) 해석과 시험 간의 상관성을 체계적으로 검증하는 것을 목적으로 한다. 기존 연구에서는 점탄성 로프를 포함한 VIM 시스템의 종방향 응답을 시험 및 해석결과에 일치시키는 방법이 주로 활용되었다(11). 이에 반해 이 연구는 VIM 전체 시스템이 아닌 점탄성 로프 자체를 대상으로 종방향 거동을 시험적 및 해석적으로 규명하여, 로프의 고유 물성에 기반한 정밀한 설계가 가능하게 한다는 점에서 차별성을 가진다. 이를 위해 먼저 점탄성 로프의 실제 진동 차단 특성을 측정하기 위해 MTS사의 저주파 진동 가진장치(low-frequency vibration generator)를 활용하여 진동차단성능 시험을 수행하였다. 시험에서는 점탄성 로프 양단에 가속도 센서를 부착하여 입력·출력 진동 데이터를 계측하고, 이를 주파수별 진동 가속도 레벨(vibration acceleration level, VAL)로 환산한 후, 그 차이를 통해 감쇠 성능을 평가하였다. 이후 점탄성 로프의 종방향 동적 특성을 확인하기 위해 FEM 해석을 진행했다. DMA(dynamic mechanical analysis) 장비를 활용하여 해석에 적용한 점탄성 로프 재질의 탄성계수(Young’s modulus)와 손실계수(loss factor) 물성값을 주파수 및 온도 조건에 따라 측정하였다. 측정된 파라미터는 FEM 해석 모델에 반영하여 로프의 종방향 동적 응답 예측을 위해 활용하였다. 이후 시험과 해석값의 진동차단성능을 전달률 이론에서의 임계 주파수비와 비교하였고, FEM 모드 형상 해석 결과를 주파수 영역에서 비교하여 점탄성 로프의 진동 차단 특성을 규명하였다. 이를 통해 로프 단위의 진동 차단 성능 평가를 위한 시험 구성의 적절성을 검증하고, FEM 결과와의 비교를 통해 그 타당성을 확인하였다. 이 연구의 결과는 향후 예인형 선배열 센서 및 진동차단모듈의 설계 최적화에 필요한 실질적이고 정량적인 기초자료를 제공하는 것을 목표로 한다.


2. 진동 가진 시험

이 절에서는 점탄성 소재 로프의 진동 가진시험을 수행하기 위한 시험 시스템의 설명과 시험을 통해 획득한 가속도 데이터를 이용하여 진동 차단 성능을 도출하는 방법에 대해 서술하였다. 도출된 시험값은 점탄성 소재 로프의 진동 차단 성능을 평가하기 위한 주요 지표로 삼았다. 예인형 선배열 센서는 수백 ~ 수 킬로미터 수준으로 길이가 매우 긴 특징을 갖기 때문에 전체 시스템에 대한 진동 차단 특성은 시험선을 동원하여 해상에서만 측정 가능하다(12). 육상 또는 호수에서 축소 규모로 시험을 구성하는 경우는 진동차단모듈에 대해서만 진동 차단 성능을 측정한다(13). 특히 육상 시험의 경우, 진동 가진 시험을 통해 진동차단모듈에 적용되는 점탄성 로프의 진동 차단 성능 확인이 가능하다. 이 논문에서는 Fig. 2와 같이 진동 가진 시험을 구성하여 예인형 선배열 센서에 적용 가능한 점탄성 로프의 진동 차단 특성을 측정하였다. 점탄성 로프는 내부 nylon 재질과 외부 NBR(nitrile butadiene rubber) + TPU(thermoplastic polyurethane) 합성 소재로 이루어져 있으며, 이를 진동 가진 시험에 시료로서 활용하였다. 점탄성 로프 양끝단 입/출력부인 point 1과 point 2에 가속도계를 각각 부착하여 점탄성 로프의 종방향 진동에 대한 진동 감쇠 성능을 평가하였다. 출력 가속도센서가 부착되는 위치의 인장로프(tension rope)는 수동윈치(manual winch)를 통해 일정한 하중으로 고정하였다.


					Fig. 2

Vibration isolation test configuration

여기서, 점탄성 로프의 종방향 진동 응답을 최대한 독립적으로 평가하기 위해, 점탄성 로프와 연결된 인장로프는 상대적으로 강체에 가까운 거동 및 작은 감쇠 특성을 고려하여 선정하였다. 또한 수동윈치 고정단과의 경계 조건 간섭을 최소화하기 위해 수동윈치와 점탄성 로프 사이의 거리(32 m)를 충분히 확보하였다. 이로 인해 발생할 수 있는 인장로프 길이에 따른 질량 부가 효과를 최소화하기 위해 저밀도 로프를 고려하였다. 그 결과 PE(polyethylene) 로프를 인장로프로 선정하였다.

가속도센서는 PCB Piezotronics INC사의 ICP Accelerometer 모델을 사용하였다. 저주파 진동 가진장치는 MTS사의 244G2 장비를 활용하였다. 이 장비의 가진 주파수 범위는 1 Hz ~ 100 Hz이며, 가진 가속도 크기 범위는 ± 150 m/s2이다. 이 논문의 진동 가진 시험은 단축 방향에 대한 진동 감쇠 특성을 측정하였다. 측정하고자 하는 점탄성 로프의 진동 차단 성능은 가진 주파수의 입/출력 가속도값을 측정한 후, 식 (1)과 같이 가속도 센서 데이터를 주파수별 진동 가속도 레벨(VAL)로 환산 후 VAL 차이를 계산하였다. VAL 차이는 입/출력 가속도의 비를 의미하며, 단위는 dB이다.

VAL=20log(aa0)ΔVAL=20log(afai)(1) 

여기서, a는 측정한 가속도값, a0는 기준 가속도(10-6 m/s2)이다. 또한, ai는 입력부 가속도값, Fig. 2의 point 1 가속도계값이고, af는 출력부 가속도값이며 Fig. 2의 point 2 가속도계값이다.

진동 가진 시험의 가속도값 측정은 Fig. 3과 같이 MTS장비에 내장되어 있는 프로그램을 활용하여 입/출력 각각의 가속도센서에서 시간에 대한 가속도값, 주파수에 대한 가속도값을 추출 및 환산하여 진동 차단 성능을 계산한다. Fig. 3은 주파수 조건 5 Hz로 가진했을 때의 예시 시험 화면이다. Fig. 3(a) 그래프는 시간에 대한 가속도값 그래프이며, 빨간색 선(1: Y1)은 입력 조건에 따른 명령 신호값, 파란색 선(1: Y2)은 입력부 가속도계의 신호값, 분홍색 선(2: Y2)은 출력부 가속도계의 신호값이다. Fig. 3(a) 그래프를 보면 마찰 잡음과 유압 맥동으로 인한 잡음을 확인할 수 있다. 이는 가진장치 내부의 seal 마찰의 영향 그리고 유압 시스템에 의한 영향으로 판단된다. Fig. 3(b)Fig. 3(a) 그래프를 주파수에 대한 가속도값으로 변환한 그래프이다. 파란색 선(1: Y2)은 입력부 가속도계의 신호값, 분홍색 선(2: Y2)은 출력부 가속도계의 신호값이다. Fig. 3(b) 그래프를 확인해보면 주파수(5 Hz)에서 가장 큰 가속도값이 나타나며, 다른 주파수 대역에서는 하모닉 성분들의 신호를 확인할 수 있다.


					Fig. 3

Acceleration graph for time, frequency

진동 가진 시험의 가진 조건은 가속도 [m/s2], 진동수 [Hz]를 설정하여 시험을 진행하였다. Table 1과 같이 2 m/s2과 6 m/s2조건에서, sine tapered 파형으로 주파수 5 Hz ~ 60 Hz까지 5 Hz 단위로 주파수를 늘려가며 가진 조건을 적용하였다(14). 또한 예인형 선배열 센서가 예인 시 받게 되는 인장력을 모사하기 위해 일정한 인장력 유지가 가능한 수동 윈치를 사용하여 245 N의 인장 조건을 적용하였다.

Test conditions of vibration

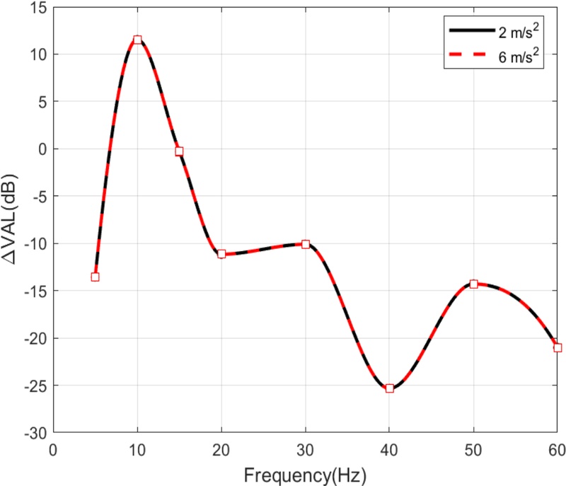
시험 결과는 Fig. 4와 같으며 10 Hz에서 공진 현상과 함께 진동이 증폭되는 구간을 볼 수 있다. 이는 예인형 선배열 센서의 진동 차단을 위한 설계에 있어서 고려해야되는 중요한 부분이다. 진동이 증폭되는 구간을 관심 주파수대역에서 최대한 줄여야 하기 때문에, 운용하고자 하는 시스템에 적절한 로프의 소재, 질량, 강성 등을 선정하여 증폭 구간을 조절해야 한다. 이 논문의 경우, 관심주파수 대역 5 Hz ~ 60 Hz에서 진동 차단 성능의 효율을 높이기 위해서는 증폭 되는 구간을 최대한 저주파수 대역으로 선정해야한다. 따라서 FEM을 통해 시험 결과값과 비교하여 점탄성 로프의 진동 차단 성능을 확인 및 검증한다.


					Fig. 4

Vibration isolation test result


3. 수치해석

3.1 DMA 분석

이 절에서는 점탄성 로프 진동 차단 성능에 대한 FEM 해석을 위해, 시험에 적용된 로프의 물성치를 DMA 분석을 통해 서술하였다. Fig. 5와 같이 DMA 장비는 GABO Qualimeter사의 EPLEXOR 100 N을 사용하였으며, 시편은 5개의 샘플로 시험했다. 이 장비의 측정 주파수 범위는 1 Hz ~ 200 Hz, 온도 범위는 -160 ˚C ~ 500 ˚C, 그리고 동적 힘(dynamic force range) 범위는 ±100 N이다. DMA 시험을 통해 점탄성 로프의 탄성계수(Young’s modulus), 손실계수(loss factor)를 측정하였다. 시험 측정 온도 범위는 –10 ˚C ~ 50 ˚C, 측정 주파수 범위는 0 Hz ~ 200 Hz로 설정하였다.


						Fig. 5

DMA equipment and test specimens

측정 결과는 Fig. 6과 같으며, 시편 5개의 물성치의 평균을 도식화했다. 탄성계수, 손실계수는 진동 차단 시험 온도 조건인 상온 20 ˚C의 값만 추출하였다. FEM 해석 물성 조건에 적용한 값들은 이를 기준으로 반영하여 진행했다.


						Fig. 6

DMA results of test specimens

3.2 경계 조건

이 절에서는 점탄성 소재 로프의 진동 차단 성능 FEM 해석 결과를 위한 경계 조건에 대해 서술하였다. 3D 해석은 상용 유한요소 해석 프로그램인 COMSOL multiphysics를 활용하였고 3.1절의 DMA를 통해 측정된 점탄성 로프의 탄성계수, 손실계수를 해석에 적용하였다. 해석 모델 및 경계조건은 Fig. 7과 같다. 시험 구성과 동일한 조건을 적용하기 위해 가진부 하단을 고정 제한조건으로 설정하였다. 점탄성 소재 로프와 가진장치 결합을 위한 치구 모델링, 가속도계 센서도 동일한 위치에서 측정되도록 모델링 하였고 로프에 일정한 힘으로 인장을 모사하기 위해 변위 하중을 적용하였다. 실세 가진 시험에서 점탄성 로프에 인장 하중(245 N) 조건을 가했을 시, 점탄성 로프의 길이는 1.25 m 증가했다. 따라서 FEM 경계조건에서는 변위 하중(Prescribed displacement)을 1.25 m로 적용하였다. 이는 인장 하중 조건보다 해석의 안정성이 높기 때문이다.


						Fig. 7

Finite element model of viscoelastic rope specimen

또한 진동 가진 장치와 수동윈치는 정육면체의 단일 모델로 형상화했으며 재질은 SUS(steel use stainless)를 적용하였고 시험치구의 경우, 실제 재질을 적용하여 해석을 진행하였다. 점탄성 로프와 인장로프의 해석에 적용한 물성치를 정리하면 Table 2와 같다. 점탄성 로프의 손실계수와 탄성계수의 경우, 앞서 측정한 DMA 시험 결과의 평균값이다. 인장로프는 물성치는 탄성계수를 제외하고 일반 상용 물성치를 적용하였다. 실제 가진 시험 구성에서 출력부부터 수동윈치까지의 인장부재는 PE로프(29.8 m)와 수동윈치 내 구간(2.2 m)의 와이어 로프로 구성되어 있으나, 해석 모델의 단순화를 위해 인장부재를 PE 로프 단일 재질로 형상화하였다. 이때 와이어 구간의 높은 강성과 수동윈치 고정단의 경계 구속 효과를 해석 모델에 반영하기 위해, 실험 결과와 모드 형상의 정합을 기준으로 등가 물성 개념을 Table 2에 표현하였다. 이 해석에서 사용된 탄성계수는 실제 재료의 고유 물성이 아니라, 시험 구성의 경계 강성 및 복합 로프 조합 효과를 포함한 동적 등가 물성치로 해석할 수 있다.

FEM material property of viscoelastic rope and tension rope

예인형 선배열 센서는 신호케이블, 윈치와 연동되어 예인되기 때문에 자유 경계 조건(free)에 가까운 상태로 운용된다. 하지만 이 연구에서 적용한 진동 가진 시험은 진동격리모듈 또는 점탄성 로프가 시험치구, 시험로프로 체결되어 있는 고정 경계 조건(fixed)이다. 따라서 실제 운용 조건과 유사한 자유단 조건을 모사하기 위해 경계조건을 유연층 영역으로 적용하여 질량, 강성 및 감쇠값을 최소화 하였다(15). 유연층 영역에 적용한 물성값은 Table 3과 같다. SUS재질인 condition 1 대비 condition 2는 약 10-6수준의 강성을 가지며, 밀도 또한 약 1/800 수준으로서 경계부 질량 효과가 무시될 정도로 작다. 감쇠 특성 또한 손실계수를 0.001로 설정하여 경계조건에서의 힘 전달을 최소화 가능하다.

FEM material property of the excited part

유연층 영역에 대한 검증을 위해, 해석적으로 가진 가속도 2 m/s2조건에서 비교한 점탄성 로프의 진동차단성능 결과값은 Fig. 8과 같다. 검은색 선은 시험값이며, 빨간색 선은 condition 1일 때의 해석값, 파란색 선은 condition 2일 때의 해석값이다. 실제 시험값과 경계 조건에 따른 진동차단성능 해석값 그래프를 보면 각 해석조건이 시험값과 유사한 것을 볼 수 있으며, 이는 로프의 종방향 진동 응답이 경계 조건 보다는 로프 자체의 강성 및 감쇠 특성에 의해 지배된다고 볼 수 있다. 따라서 이 논문에서의 시험 구성도 및 FEM 경계 조건은 실제 해상 운용 조건과 유사하다고 볼 수 있다. 이 논문의 FEM 해석 내용들은 실제 가진 시험 조건과 동일한 condition 1을 기준으로 설명한다.


						Fig. 8

Comparison of test and FEM of excited part material difference (2 m/s2)

3.3 해석 결과 분석 및 시험값 비교

이 절에서는 FEM 해석 결과를 시험값과 비교/분석하며, 모드 해석을 통해 점탄성 로프의 진동 응답 특성에 대해 서술한다. FEM 결과 분석도 진동 가진 시험과 동일하게 입력부의 가속도값과 출력부의 가속도값을 추출하여 주파수별 진동 가속도 레벨(VAL)로 환산 후 VAL 차이를 비교하였다. 또한 가속도 2 m/s2과 6 m/s2 조건에서 5 Hz 간격으로 5 Hz ~ 60 Hz 까지 가진 조건을 적용하였다. 또한 실제 가진 시험 조건의 fixed 조건인 condition 1을 기준으로 해석을 진행했다. 해석결과는 Fig. 9와 같으며, 10 Hz에서 Fig. 4와 동일하게 공진 현상 및 증폭되는 구간이 발생한다.


						Fig. 9

FEM result of viscoelastic rope (fixed)

또한, 8 Hz ~ 15 Hz 구간에서는 공진 현상으로 인해 출력부의 가속도가 입력부 가속도보다 더 커지는 구간을 확인할 수 있다. 이는 시험값의 진동 증폭구간과 유사하며, 진동 차단 시스템의 전달률(Tf)로 설명가능하다. 이 연구에서 구성한 진동 차단 시스템을 1자유도계(a single degree of freedom model)로 간소화시키면 Fig. 10과 같다.(16) 여기서 m은 구조물의 질량, c는 감쇠계수, k는 강성이다. 또한 F(t)는 진폭 F0와 외력의 각주파수 ω를 가진 외부 하모닉 힘이며, Ft는 총 전달되는 힘이다. 여기서 전달률을 구해보면 식 (2)와 같다.


						Fig. 10

Vibration isolation system

Tf=FtF0={k2+ω2+c2(k-mω2)2+ω2c2} ={1+(2ζr)2(1-r2)2+(2ζr)2}Ft=F0(k2+ω2c2)(k-mω2)2+ω2c2r=ωωn, ωn=2πkmζ=CCc,Cc=2mk(2) 

전달률에서 r은 주파수비(frequency ratio)이며, Cc는 임계 감쇠, ζ는 감쇠비이다. 감쇠비에 따른 전달률 특성은 Fig. 11과 같다. Fig. 11에 나타난 바와 같이, 전달률은 임계 주파수비(critical frequency ratio), 2(1.414)를 기준으로 증폭 구간(Tf > 1)에서 차단 구간(Tf < 1)으로 전이 되며, ωω1=1에서는 공진이 발생한다(17).


						Fig. 11

Variation of transmissibility with r

진동 차단 성능 해석값의 검증을 위해 진동이 차단되는 시점이 임계 주파수비 값이 나타나는지 공진주파수(resonant frequency)와 가진주파수(excitation frequency)를 구하여 비교하였다. 먼저 해석값의 공진주파수를 찾기 위해 Fig. 12와 같이 eigenfrequency 해석을 통해 mode shape를 분석하여 출력부 point 2 부분을 확대하였다. 모드 분석 주파수는 진동 차단 성능인 ΔVAL 시험 데이터를 기준으로 진행했다. Fig. 12(e) 그래프 기준으로 10 Hz, 50 Hz 주파수 부근에서 모드 형상을 분석하였다. 모드 형상 Fig. 12(b), Fig. 12(d)를 보면 x축 방향으로 다른 형상과 다르게 형상 변화가 큰 모드 형상을 확인할 수 있으며, 이중에서 모드 형상 Fig. 12(b)가 가장 변화가 크다. 따라서 해석값의 공진주파수를 10.178 Hz로 선정하였고 시험값의 공진주파수는 10 Hz로 선정하였다.


						Fig. 12

Mode shape of vibration system in the z-x plnae and vibration isolation comparison of test and FEM

진동 차단 성능의 0 Hz ~ 60 Hz 구간 시험값과 해석값에서 ΔVAL = 0인 가진주파수와 모드 형상 해석에서의 공진주파수의 비율을 계산하여 백분율로 Table 4와 같이 정리하였다. 시험값과 해석값의 임계 주파수비가 이론상의 임계 주파수비값(2)과의 오차율은 7 % 이내이다.

Comparison of the frequency ratio

Fig. 12(e)에 나타난 바와 같이, 시험 및 해석 결과를 비교한 결과 증폭 구간에서는 전달률의 전반적인 경향이 서로 잘 일치하며, 임계 주파수 또한 약 7 % 이내의 오차 범위로 유사하게 나타났다. 반면, 차단 구간의 약 40 Hz 부근에서는 시험 결과와 해석 결과 간의 차이가 관찰된다. 이러한 차이는 실제 시험 환경에 존재하는 다양한 요인들이 해석 모델에 충분히 반영되지 않았기 때문으로 판단된다. 먼저 이 시험에 사용된 저주파 진동 가진장치는 유압 시스템 기반으로 구성되어 있으며, 유압 시스템 특성상 유체 압력 변동에 따른 유압 맥동이 Fig. 3(a)와 같이 발생할 수 있다. 이러한 유압 맥동은 구조 응답에 비정상적인 추가 진동 성분을 유입시킬 가능성이 있다. 또한, 저주파 진동 가진장치 내부의 seal 부위에서의 마찰은 비선형적인 감쇠 효과를 유발할 수 있으며, 이는 유압 맥동과 동일하게 Fig. 3(a)에서 관찰할 수 있다. 결론적으로 FEM 해석에서는 감쇠 모델을 단순화하고 경계 조건을 이상화하여 적용하였기 때문에, 실제 시험 환경에서 발생하는 유압 시스템 및 마찰 효과를 충분히 반영하지 못한 한계가 존재한다고 판단된다.

그럼에도 불구하고 진동 차단 성능의 전반적 경향 및 증폭-차단 전이 특성은 시험과 해석에서 유사하게 나타났다. 이를 통해 점탄성 로프의 진동 차단 성능을 평가하기 위해 구성한 시험 구성도와 이를 정량적으로 분석하기 위한 FEM 해석 모델이 해당 시스템의 동특성을 합리적으로 재현하고 있음을 확인하였다.


4. 결 론

이 연구에서는 저주파 진동 저감을 위해 예인형 선배열 센서에 적용되는 진동차단모듈의 점탄성 로프에 대해 시험적 및 수치해석적 방법을 통해 진동 차단 성능을 검증하였다. 점탄성 로프의 진동 차단 성능은 가속도값을 VAL 값으로 환산 후, 입/출력 가속도값의 비인 VAL 차이를 계산하여 비교했다. 시험 결과 10 Hz 부근에서 공진점이 확인되었으며, 가진 가속도 변화에 관계없이 동일한 감쇠 경향을 보였다.

정량적 비교를 위해 수행한 FEM 해석에서는 DMA 시험을 통해 추출한 탄성계수와 손실계수를 적용하였다. 해석 결과의 입/출력 가속도값을 VAL로 환산 및 차이를 계산한 결과, 시험값과 유사한 경향을 보였으며 공진주파수 및 진동 차단 성능의 경향이 시험 결과와 유사하게 나타났다. 특히, 가진주파수와 공진주파수 비율은 이론적 임계 주파수비와 비교하였을 때, 7 % 이내의 오차 범위 이내로 수렴하여 해석 모델의 타당성이 검증되었다. 아울러, 공진 현상과 함께 진동이 증폭되는 현상을 진동 차단 시스템의 전달률로 설명하며, 진동이 차단되는 구간을 정량적으로 증명했다.

이 연구 결과는 점탄성 소재 로프를 적용한 진동차단모듈이 예인형 선배열 센서의 자체소음을 저감하고 SNR을 향상시키는 데 효과적임을 시험적, 해석적으로 입증한것이다. 결론적으로, 이 연구는 점탄성 소재 로프를 이용한 VIM 설계의 타당성과 성능을 시험적으로 검증하고 수치해석적으로 예측 가능함을 보여주었으며, 향후 해양 예인형 센서 시스템의 진동 저감 설계 및 최적화에 있어 유용한 기초 자료로 활용될 수 있다.

또한, 이 연구에서는 상온 조건에서의 점탄성 로프 진동 차단 성능을 중심으로 분석을 수행하였으나, 실제 적용 환경에서는 수중 및 저수온 조건이다. 향후 연구에서는 실제 수중 환경, 수온 조건에서 점탄성 소재의 진동 전달 특성을 시험 및 해석적으로 분석하여 보다 현실적인 운용 조건을 반영한 진동 차단 성능 평가로 확장할 계획이다.

Acknowledgments

이 논문은 2022년도 정부(방위사업청)의 재원으로 국방기술진흥연구소의 지원을 받아 수행된 연구임(No. KRIT-CT-22-029, 초세장형 선배열 설계 기술).

References

  • Xue, X., Yu, Y., Zhao, D., Yang, D. and Qi, L., 2025, Numerical Investigations of a Column Configuration with Towed Super Long Cable in Underwater Environment, Journal of Marine Science and Engineering, Vol. 13, No. 3, p. 592. [https://doi.org/10.3390/jmse13030592]
  • Premus, V. E., 2000, Cable Strum Self-noise Cancellation for Sonar Towed Arrays, Journal of the Acoustical Society of America, Vol. 108, Supplement No. 5, 2557. [https://doi.org/10.1121/1.4743495]
  • McGowan, G. A. and MacCulloch, D. B., Vibration Isolation Module for Sonar Towed Arrays 1987, U.S. Patent, No. 4660183, United States.
  • Ham, I.-B., Bae, S.-R. and Jeong, W.-B., 1997, Modeling of Towed Line Array using Finite Element Method and Vibration Analysis of VIM, Transactions of the Korean Society for Noise and Vibration Engineering, Vol. 7, No, 6, pp. 993~1000.
  • Miller, H. A., Smith, R. R. and Nichols, C. S., Solid Filled Vibration Isolation Module for a Towed Sonar Array, U.S. Patent, No. 4090168, United States.
  • Harvey, A. P., Vibration Isolation Modules (VIM) for Towed Array Streamers, U.S. Patent, No. 5471436, United States.
  • Wu, S., Gu, H., Pang, Y., Liu, W., Wang, J. et al., 2023, Ultrathin Interferometric Hydrophone Towed Line Array Based on uwFBG, AIP Advances, Vol. 13, No. 11, 115015. [https://doi.org/10.1063/5.0163694]
  • Yan, J., Yang, K., Zeng, S., Yang, K., Zhang, D. et al., 2025, Multi-branch Towed Array System: Systematic Analysis of Modeling Methods, Environmental Responses and Mechanical Properties in Fracture Analysis, Journal of Marine Science and Engineering, Vol. 13, No. 9, 1697. [https://doi.org/10.3390/jmse13091697]
  • Lal Krishna, G. and Nandakumar, C. G., 2013, Studies on Underwater Vibration Isolation Module, International Journal of Innovative Research in Science, Engineering and Technology, Vol. 2, No. 1, pp. 422~428.
  • Sebastian, M. S., Unnikrishnan, K. C. and Narayanan, S., 2008, Viscoelastic Properties of Kevlar-29 Fabric Tape Strength Member, Mechanics of Materials, Vol. 40, No. 11, pp. 949~960. [https://doi.org/10.1016/j.mechmat.2008.05.002]
  • Sebastian, S. M., Rajan, S., Jithu, S. and Narayanan, S., 2014, Longitudinal Vibration Response of a Vibration Isolation Module with Kevlar-29 Fabric Stength Member, Mechanics of Advanced Materials and Structures, Vol. 21, No. 6, pp. 457~467. [https://doi.org/10.1080/15376494.2012.680664]
  • Souto, F., 2013, Fibre Optic Towed Array: The High Tech Compact Solution for Naval Warfare, Proceedings of Acoustics, Victor Harbor, Australia, pp. 1~5.
  • Wang, L., Huang, Y., Zhang, Y., Xu, H. and Li, D., 2025, Experimental Study on the Performance of Vibration Isolation Modules for Optical Fiber Hydrophone Towed Array, Proceedings of the Second International Conference, Frontiers of Applied Optics and Computer Engineering, Vol. 13 564, pp. 255~260. [https://doi.org/10.1117/12.3060211]
  • Beerens, S. P. and Van IJsselmuide, S. P., 2002, Nature and Causes of Flow Induced Noise on a Sonar with a Towed Triplet Array Receiver, NAG Nederlands Akoestisch Genootschap Journal, Vol. 161, pp. 27~37.
  • Witkiewicz, W. and Zieliski, A., 2006, Properties of the Polyurethane(PU) Foams, Advances in Materials Science, Vol. 6, No. 2, pp. 35~51.
  • Bedender, J. W., Johnstond, R. C. and Neitzel, E. B., 1970, Electroacoustic Characteristics of Marine Seismic Streamers, Geophysics, Vol. 35, No. 6, pp. 1054~1072. [https://doi.org/10.1190/1.1440142]
  • Rao, S. S., 2017, Mechanical Vibrations in SI Units, 6th Edition, Pearson, London, United Kingdom, pp. 854~855.

Fig. 1


					Fig. 1
Towed array sonar configuration

Fig. 2


					Fig. 2
Vibration isolation test configuration

Fig. 3


					Fig. 3
Acceleration graph for time, frequency

Fig. 4


					Fig. 4
Vibration isolation test result

Fig. 5


						Fig. 5
DMA equipment and test specimens

Fig. 6


						Fig. 6
DMA results of test specimens

Fig. 7


						Fig. 7
Finite element model of viscoelastic rope specimen

Fig. 8


						Fig. 8
Comparison of test and FEM of excited part material difference (2 m/s2)

Fig. 9


						Fig. 9
FEM result of viscoelastic rope (fixed)

Fig. 10


						Fig. 10
Vibration isolation system

Fig. 11


						Fig. 11
Variation of transmissibility with r

Fig. 12


						Fig. 12
Mode shape of vibration system in the z-x plnae and vibration isolation comparison of test and FEM

Table 1

Test conditions of vibration

Tensile load [N] Frequency [Hz] Accelration [m/s2]
245 5 ~ 60 2, 6

Table 2

FEM material property of viscoelastic rope and tension rope

Property Viscoelastic
rope
Tension
rope
Density [kg/m3] 1174.61 566.17
Loss factor DMA average data 0.03
Young’s modulus [GPa] DMA average data 4.5
Poisson’s ratio 0.45 0.43

Table 3

FEM material property of the excited part

Condition 1
(fixed)
Condition 2
(free)
Density [kg/m3] 8000 10
Loss factor 0.01 0.001
Young’s modulus [GPa] 190 000 0.05
Poisson’s ratio 0.3 0.3

Table 4

Comparison of the frequency ratio

Test FEM
Accelration [m/s2] 2 6 2 6
Resonant frequency [fn, Hz] 10 10 10.178 10.178
Excitation frequency [f, Hz] 13.278 13.205 14.830 14.830
ffn 1.328 1.321 1.457 1.457
Critical frequency ratio error rate [%] 6.112 6.629 3.027 3.027